第31页
- 第1页
- 第2页
- 第3页
- 第4页
- 第5页
- 第6页
- 第7页
- 第8页
- 第9页
- 第10页
- 第11页
- 第12页
- 第13页
- 第14页
- 第15页
- 第16页
- 第17页
- 第18页
- 第19页
- 第20页
- 第21页
- 第22页
- 第23页
- 第24页
- 第25页
- 第26页
- 第27页
- 第28页
- 第29页
- 第30页
- 第31页
- 第32页
- 第33页
- 第34页
- 第35页
- 第36页
- 第37页
- 第38页
- 第39页
- 第40页
- 第41页
- 第42页
- 第43页
- 第44页
- 第45页
- 第46页
- 第47页
- 第48页
- 第49页
- 第50页
- 第51页
- 第52页
- 第53页
- 第54页
- 第55页
- 第56页
- 第57页
- 第58页
- 第59页
- 第60页
- 第61页
- 第62页
- 第63页
- 第64页
- 第65页
- 第66页
- 第67页
- 第68页
- 第69页
- 第70页
- 第71页
- 第72页
- 第73页
- 第74页
- 第75页
- 第76页
- 第77页
- 第78页
- 第79页
- 第80页
- 第81页
- 第82页
- 第83页
- 第84页
- 第85页
- 第86页
- 第87页
- 第88页
- 第89页
- 第90页
- 第91页
- 第92页
- 第93页
- 第94页
- 第95页
- 第96页
- 第97页
- 第98页
1.如图,直线AB与CD相交于点O。
(1)若∠AOC=________,则AB⊥CD;
(2)若AB⊥CD,则∠AOC的度数是______。
(1)若∠AOC=________,则AB⊥CD;
(2)若AB⊥CD,则∠AOC的度数是______。
答案:
(1)90°
(2)90°
(1)90°
(2)90°
2.如图,AO⊥CO,且∠BOC=30°,则∠AOB 的度数是 ( )

A.45°
B.60°
C.55°
D.50°
A.45°
B.60°
C.55°
D.50°
答案:
B
[变式](2024.北京)如图,直线AB和CD 相交于点O,OE⊥OC。若∠AOC=58°,则∠EOB的大小为 ( )

A.29°
B.32°
C.45°
D.58°
A.29°
B.32°
C.45°
D.58°
答案:
B
3.如图,点O在直线AB上,OC⊥OD。若∠AOC=110°,则∠BOD的大小为 ( )

A.30°
B.20°
C.10°
D.5°
A.30°
B.20°
C.10°
D.5°
答案:
D
[变式]如图,直线AB,CD相交于点O,若∠EOD=40°,∠BOC=130°,那么射线OE 与直线AB的位置关系是______________。
答案:
互相垂直
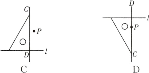
4.过直线L外一点P画L的垂线CD,下列各图中,三角板操作正确的是 ( )


答案:
D
5.如图,点P是∠AOB的边OB上的一点,用无刻度的直尺画图。
(1)过点P画OA的垂线,垂足为H;
(2)过点P画OB的垂线,交OA于点C。
(1)过点P画OA的垂线,垂足为H;
(2)过点P画OB的垂线,交OA于点C。
答案:
解:
(1)如图,直线PH即为所求。
(2)如图,直线PC即为所求。
解:
(1)如图,直线PH即为所求。
(2)如图,直线PC即为所求。
6.如图,OM⊥NP,ON⊥NP,所以直线ON 与OM重合,其理由是 ( )
A.两点确定一条直线
B.在同一平面内,过一点有且只有一条直线与已知直线垂直
C.过一点只能作一条直线
D.垂线段最短
A.两点确定一条直线
B.在同一平面内,过一点有且只有一条直线与已知直线垂直
C.过一点只能作一条直线
D.垂线段最短
答案:
B
查看更多完整答案,请扫码查看