2025年1加1轻巧夺冠优化训练七年级数学下册人教版银版
注:目前有些书本章节名称可能整理的还不是很完善,但都是按照顺序排列的,请同学们按照顺序仔细查找。练习册 2025年1加1轻巧夺冠优化训练七年级数学下册人教版银版 答案主要是用来给同学们做完题方便对答案用的,请勿直接抄袭。
第35页
- 第1页
- 第2页
- 第3页
- 第4页
- 第5页
- 第6页
- 第7页
- 第8页
- 第9页
- 第10页
- 第11页
- 第12页
- 第13页
- 第14页
- 第15页
- 第16页
- 第17页
- 第18页
- 第19页
- 第20页
- 第21页
- 第22页
- 第23页
- 第24页
- 第25页
- 第26页
- 第27页
- 第28页
- 第29页
- 第30页
- 第31页
- 第32页
- 第33页
- 第34页
- 第35页
- 第36页
- 第37页
- 第38页
- 第39页
- 第40页
- 第41页
- 第42页
- 第43页
- 第44页
- 第45页
- 第46页
- 第47页
- 第48页
- 第49页
- 第50页
- 第51页
- 第52页
- 第53页
- 第54页
- 第55页
- 第56页
- 第57页
- 第58页
- 第59页
- 第60页
- 第61页
- 第62页
- 第63页
- 第64页
- 第65页
- 第66页
- 第67页
- 第68页
- 第69页
- 第70页
- 第71页
- 第72页
- 第73页
- 第74页
- 第75页
- 第76页
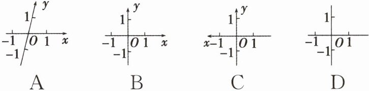
1 下列选项中,平面直角坐标系的画法正确的是( )

答案:
B
2 下列叙述错误的是( )
A. 坐标平面被两条坐标轴分成了四部分,每个部分称为象限
B. 坐标轴上的点不属于任何象限
C. 平面直角坐标系的两条数轴是互相垂直的
D. 平面直角坐标系中两条数轴上的单位长度一定取相同的
A. 坐标平面被两条坐标轴分成了四部分,每个部分称为象限
B. 坐标轴上的点不属于任何象限
C. 平面直角坐标系的两条数轴是互相垂直的
D. 平面直角坐标系中两条数轴上的单位长度一定取相同的
答案:
D
3(2024·通山期末)在平面直角坐标系中,点M在第四象限,到x轴、y轴的距离分别为6,4,则点M的坐标为( )
A.(4,-6)
B.(-4,6)
C.(-6,4)
D.(-6,-4)
A.(4,-6)
B.(-4,6)
C.(-6,4)
D.(-6,-4)
答案:
A
4 在如图所示的平面直角坐标系中描出下列各点,并将这些点用线段依次连接起来.
(-2,3),(-1,-1),(0,3),(1,-1),(2,3).

(-2,3),(-1,-1),(0,3),(1,-1),(2,3).
答案:
略
5(2024·贵州期末)在平面直角坐标系中,下列各点在第二象限的是( )
A.(1,2)
B.(-1,-2)
C.(-1,2)
D.(1,-2)
A.(1,2)
B.(-1,-2)
C.(-1,2)
D.(1,-2)
答案:
C
6 已知点P(m,3)在第二象限,则m的取值范围是( )
A. m>3
B. m<3
C. m>0
D. m<0
A. m>3
B. m<3
C. m>0
D. m<0
答案:
D
7 在平面直角坐标系中,点P(-3,-2)所在象限是第_______象限.
答案:
三
8(2024·开州区期末)若点P(m+2,m+1)在y轴上,则P点坐标为_______.
答案:
(0, -1)
9 已知点P(3m-6,m+1),试根据下列条件,分别求出点P的坐标.
(1)点P在y轴上;
(2)点P在x轴上;
(3)点P的纵坐标比横坐标大5;
(4)点P在过点A(-1,2)且与x轴平行的直线上.
(1)点P在y轴上;
(2)点P在x轴上;
(3)点P的纵坐标比横坐标大5;
(4)点P在过点A(-1,2)且与x轴平行的直线上.
答案:
解:
(1)
∵点P(3m - 6, m + 1)在y轴上,
∴3m - 6 = 0, 解得m = 2.
∴m + 1 = 2 + 1 = 3.
∴点P的坐标为(0, 3).
(2)
∵点P(3m - 6, m + 1)在x轴上,
∴m + 1 = 0, 解得m = -1.
∴3m - 6 = 3×(-1) - 6 = -9.
∴点P的坐标为(-9, 0).
(3)
∵点P(3m - 6, m + 1)的纵坐标比横坐标大5,
∴m + 1 - (3m - 6) = 5,
解得m = 1.
∴3m - 6 = 3×1 - 6 = -3, m + 1 = 1 + 1 = 2.
∴点P的坐标为(-3, 2).
(4)
∵点P(3m - 6, m + 1)在过点A(-1, 2), 且与x轴平行的直线上,
∴m + 1 = 2, 解得m = 1.
∴3m - 6 = 3×1 - 6 = -3,
∴点P的坐标为(-3, 2).
(1)
∵点P(3m - 6, m + 1)在y轴上,
∴3m - 6 = 0, 解得m = 2.
∴m + 1 = 2 + 1 = 3.
∴点P的坐标为(0, 3).
(2)
∵点P(3m - 6, m + 1)在x轴上,
∴m + 1 = 0, 解得m = -1.
∴3m - 6 = 3×(-1) - 6 = -9.
∴点P的坐标为(-9, 0).
(3)
∵点P(3m - 6, m + 1)的纵坐标比横坐标大5,
∴m + 1 - (3m - 6) = 5,
解得m = 1.
∴3m - 6 = 3×1 - 6 = -3, m + 1 = 1 + 1 = 2.
∴点P的坐标为(-3, 2).
(4)
∵点P(3m - 6, m + 1)在过点A(-1, 2), 且与x轴平行的直线上,
∴m + 1 = 2, 解得m = 1.
∴3m - 6 = 3×1 - 6 = -3,
∴点P的坐标为(-3, 2).
查看更多完整答案,请扫码查看