2025年1加1轻巧夺冠优化训练七年级数学下册人教版银版
注:目前有些书本章节名称可能整理的还不是很完善,但都是按照顺序排列的,请同学们按照顺序仔细查找。练习册 2025年1加1轻巧夺冠优化训练七年级数学下册人教版银版 答案主要是用来给同学们做完题方便对答案用的,请勿直接抄袭。
第10页
- 第1页
- 第2页
- 第3页
- 第4页
- 第5页
- 第6页
- 第7页
- 第8页
- 第9页
- 第10页
- 第11页
- 第12页
- 第13页
- 第14页
- 第15页
- 第16页
- 第17页
- 第18页
- 第19页
- 第20页
- 第21页
- 第22页
- 第23页
- 第24页
- 第25页
- 第26页
- 第27页
- 第28页
- 第29页
- 第30页
- 第31页
- 第32页
- 第33页
- 第34页
- 第35页
- 第36页
- 第37页
- 第38页
- 第39页
- 第40页
- 第41页
- 第42页
- 第43页
- 第44页
- 第45页
- 第46页
- 第47页
- 第48页
- 第49页
- 第50页
- 第51页
- 第52页
- 第53页
- 第54页
- 第55页
- 第56页
- 第57页
- 第58页
- 第59页
- 第60页
- 第61页
- 第62页
- 第63页
- 第64页
- 第65页
- 第66页
- 第67页
- 第68页
- 第69页
- 第70页
- 第71页
- 第72页
- 第73页
- 第74页
- 第75页
- 第76页
9. 工人师傅在架设电线时,为了检验三条电线是否互相平行,只检查其中两条电线是否与第三条电线平行即可,这样做的道理是____________________.
答案:
如果两条直线都与第三条直线平行,那么这两条直线也互相平行
10. 如图,点P为BC边上一点.
(1)过点P画AB的平行线,交AC于点T.
(2)过点C画MN//AB.
(3)直线PT,MN有什么位置关系?试说明理由.

(1)过点P画AB的平行线,交AC于点T.
(2)过点C画MN//AB.
(3)直线PT,MN有什么位置关系?试说明理由.
答案:
解:
(1)如图,直线 PT 即为所求.
(2)如图,直线 MN 即为所求.
(3)PT//MN. 理由如下:
∵PT//AB,MN//AB,
∴PT//MN(平行公理的推论).
解:
(1)如图,直线 PT 即为所求.
(2)如图,直线 MN 即为所求.
(3)PT//MN. 理由如下:
∵PT//AB,MN//AB,
∴PT//MN(平行公理的推论).
11. 如图,将一张长方形纸对折两次,产生的折痕与折痕之间的位置关系是( )

A. 平行
B. 垂直
C. 平行或垂直
D. 无法确定
A. 平行
B. 垂直
C. 平行或垂直
D. 无法确定
答案:
A
12. 已知在同一平面内有三条不同的直线a,b,c,下列说法错误的是( )
A. 如果a//b,a⊥c,那么b⊥c
B. 如果b//a,c//a,那么b//c
C. 如果b⊥a,c⊥a,那么b⊥c
D. 如果b⊥a,c⊥a,那么b//c
A. 如果a//b,a⊥c,那么b⊥c
B. 如果b//a,c//a,那么b//c
C. 如果b⊥a,c⊥a,那么b⊥c
D. 如果b⊥a,c⊥a,那么b//c
答案:
C
13. 已知在同一平面内的两条不同直线a,b,分别根据下列条件,写出a,b的位置关系.
(1)若它们没有公共点,则________;
(2)若它们都平行于第三条直线,则________;
(3)若它们有且只有一个公共点,则________;
(4)过平面内的同一点画它们的平行线,能画出两条,则________;
(5)过平面内不在a,b上的一点画它们的平行线,只能画出一条,则________.
(1)若它们没有公共点,则________;
(2)若它们都平行于第三条直线,则________;
(3)若它们有且只有一个公共点,则________;
(4)过平面内的同一点画它们的平行线,能画出两条,则________;
(5)过平面内不在a,b上的一点画它们的平行线,只能画出一条,则________.
答案:
(1)a//b
(2)a//b
(3)a 和 b 相交
(4)a 和 b 相交
(5)a//b
(1)a//b
(2)a//b
(3)a 和 b 相交
(4)a 和 b 相交
(5)a//b
14. 如图,AO//CD,BO//CD,且∠AOC = $\frac{1}{3}$∠AOB,求∠AOC的度数.

答案:
解:
∵AO//CD,BO//CD,
∴A,O,B 在同一条直线上,
∴∠AOB = 180°.
∵∠AOC = $\frac{1}{3}$∠AOB,
∴∠AOC = 60°.
∵AO//CD,BO//CD,
∴A,O,B 在同一条直线上,
∴∠AOB = 180°.
∵∠AOC = $\frac{1}{3}$∠AOB,
∴∠AOC = 60°.
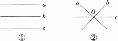
15. 同一平面内三条直线的交点有多少个?
甲:如图①,因为a//b//c,所以同一平面内三条直线的交点有0个.
乙:如图②,因为a,b,c相交于同一点O,所以同一平面内三条直线的交点有1个.
以上说法谁对谁错?为什么?

甲:如图①,因为a//b//c,所以同一平面内三条直线的交点有0个.
乙:如图②,因为a,b,c相交于同一点O,所以同一平面内三条直线的交点有1个.
以上说法谁对谁错?为什么?
答案:
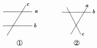
解:甲、乙的说法都不对,不够全面,都少了三种情况.
如图①所示,直线 a//b,直线 c 与 a,b 相交,有 2 个交点;如图②所示,直线 a,b,c 两两相交,有 3 个交点. 所以三条直线的交点有 0 个或 1 个或 2 个或 3 个,共四种情况.

解:甲、乙的说法都不对,不够全面,都少了三种情况.
如图①所示,直线 a//b,直线 c 与 a,b 相交,有 2 个交点;如图②所示,直线 a,b,c 两两相交,有 3 个交点. 所以三条直线的交点有 0 个或 1 个或 2 个或 3 个,共四种情况.
查看更多完整答案,请扫码查看