2025年金考卷特快专递高中数学
注:目前有些书本章节名称可能整理的还不是很完善,但都是按照顺序排列的,请同学们按照顺序仔细查找。练习册 2025年金考卷特快专递高中数学 答案主要是用来给同学们做完题方便对答案用的,请勿直接抄袭。
1. 已知集合$M = \{ - 2, - 1,0,1,2 \}$,$N = \{ x|x^{2} - x - 6\geqslant0 \}$,则$M\cap N =$
A. $\{ - 2, - 1,0,1 \}$
B. $\{ 0,1,2 \}$
C. $\{ - 2 \}$
D. $\{ 2 \}$
A. $\{ - 2, - 1,0,1 \}$
B. $\{ 0,1,2 \}$
C. $\{ - 2 \}$
D. $\{ 2 \}$
答案:
1.C 集合的表示方法+交集的概念+集合的交运算+一元二次不等式的求解(基础性,逻辑推理素养,数学运算能力) 解法一(直接求解不等式的解集) 集合$N = \{x|x^{2}-x - 6\geqslant0\}$表示一元二次不等式$x^{2}-x - 6\geqslant0$的解集.由于$x^{2}-x - 6=(x - 3)(x + 2)$,因此不等式$x^{2}-x - 6\geqslant0$的解为$x\geqslant3$或$x\leqslant - 2$.故$N = \{x|x\leqslant - 2\}\cup\{x|x\geqslant3\}$,于是$M\cap N = \{ - 2\}$.故选C.
解法二(根据一元二次函数性质解答) 本题可以不具体解出不等式的解集,通过分析和逻辑推理得到结论.一元二次函数的二次项系数大于0,故该一元二次函数的图象开口向上.又$x^{2}-x - 6 = 0$有两个实根: - 2和3,所以由函数图象可得集合$N = \{x|x^{2}-x - 6\geqslant0\}$是区间$(-\infty,-2]$和$[3,+\infty)$的并集.于是$M\cap N$就是区间$(-\infty,-2]$和$[3,+\infty)$中所包含的集合$M = \{ - 2,-1,0,1,2\}$中的所有整数,即知$M\cap N = \{ - 2\}$.故选C.
光速解(排除法) 由于$1\notin N$,所以$1\notin M\cap N$,排除A,B;由于$2\notin N$,所以$2\notin M\cap N$,排除D.故选C.
命题分析 试题以学生熟悉的一元二次不等式的解集为背景,考查集合这一数学基本概念,入手途径宽泛,作答方法多样,体现面向全体学生,注重基础性的特点.学生可以通过求解一元二次不等式,按部就班地计算出结果;也可以通过简单地分析和逻辑推理得到正确选项,并减少计算量.试题符合学生预期,有利于学生稳定心态,正常发挥.
解法二(根据一元二次函数性质解答) 本题可以不具体解出不等式的解集,通过分析和逻辑推理得到结论.一元二次函数的二次项系数大于0,故该一元二次函数的图象开口向上.又$x^{2}-x - 6 = 0$有两个实根: - 2和3,所以由函数图象可得集合$N = \{x|x^{2}-x - 6\geqslant0\}$是区间$(-\infty,-2]$和$[3,+\infty)$的并集.于是$M\cap N$就是区间$(-\infty,-2]$和$[3,+\infty)$中所包含的集合$M = \{ - 2,-1,0,1,2\}$中的所有整数,即知$M\cap N = \{ - 2\}$.故选C.
光速解(排除法) 由于$1\notin N$,所以$1\notin M\cap N$,排除A,B;由于$2\notin N$,所以$2\notin M\cap N$,排除D.故选C.
命题分析 试题以学生熟悉的一元二次不等式的解集为背景,考查集合这一数学基本概念,入手途径宽泛,作答方法多样,体现面向全体学生,注重基础性的特点.学生可以通过求解一元二次不等式,按部就班地计算出结果;也可以通过简单地分析和逻辑推理得到正确选项,并减少计算量.试题符合学生预期,有利于学生稳定心态,正常发挥.
2. 已知$z = \frac{1 - \mathrm{i}}{2 + 2\mathrm{i}}$,则$z - \overline{z} =$
A. $-\mathrm{i}$
B. $\mathrm{i}$
C. 0
D. 1
A. $-\mathrm{i}$
B. $\mathrm{i}$
C. 0
D. 1
答案:
2.A 复数的运算法则+共轭复数的概念(理性思维) 解法一(直接运算、概念法) 因为$z=\frac{1 - i}{2 + 2i}=\frac{(1 - i)^{2}}{2(1 + i)(1 - i)}=-\frac{1}{2}i$,所以$\overline{z}=\frac{1}{2}i$,所以$z-\overline{z}=-\frac{1}{2}i-\frac{1}{2}i=-i$.故选A.
解法二(利用待定系数法化简) 设$\frac{1 - i}{2 + 2i}=x + yi$,其中$x,y$均为实数,则$1 - i=(2 + 2i)(x + yi)=2x - 2y+(2x + 2y)i$,因而$\begin{cases}2x - 2y = 1\\2x + 2y = - 1\end{cases}$,解得$x = 0,y = -\frac{1}{2}$.因此$z=\frac{1 - i}{2 + 2i}=-\frac{1}{2}i$,则$\overline{z}=\frac{1}{2}i$,所以$z-\overline{z}=-i$,故选A.
命题分析 本题主要考查化简分式形式复数的基本能力,考查内容回归教材,计算量小,对复数教学具有较好的导向作用.
解法二(利用待定系数法化简) 设$\frac{1 - i}{2 + 2i}=x + yi$,其中$x,y$均为实数,则$1 - i=(2 + 2i)(x + yi)=2x - 2y+(2x + 2y)i$,因而$\begin{cases}2x - 2y = 1\\2x + 2y = - 1\end{cases}$,解得$x = 0,y = -\frac{1}{2}$.因此$z=\frac{1 - i}{2 + 2i}=-\frac{1}{2}i$,则$\overline{z}=\frac{1}{2}i$,所以$z-\overline{z}=-i$,故选A.
命题分析 本题主要考查化简分式形式复数的基本能力,考查内容回归教材,计算量小,对复数教学具有较好的导向作用.
3. 已知向量$\boldsymbol{a} = ( 1,1 )$,$\boldsymbol{b} = ( 1, - 1 )$. 若$(\boldsymbol{a} + \lambda\boldsymbol{b} ) \perp (\boldsymbol{a} + \mu\boldsymbol{b} )$,则
A. $\lambda + \mu = 1$
B. $\lambda + \mu = - 1$
C. $\lambda\mu = 1$
D. $\lambda\mu = - 1$
A. $\lambda + \mu = 1$
B. $\lambda + \mu = - 1$
C. $\lambda\mu = 1$
D. $\lambda\mu = - 1$
答案:
3.D 平面向量概念+向量的线性运算及几何意义+向量垂直+平面向量数量积(运算求解能力、化归与转化思想) 转化法 因为$\boldsymbol{a}=(1,1),\boldsymbol{b}=(1,-1)$,所以$\boldsymbol{a}+\lambda\boldsymbol{b}=(1 + \lambda,1 - \lambda)$,$\boldsymbol{a}+\mu\boldsymbol{b}=(1 + \mu,1 - \mu)$,因为$(\boldsymbol{a}+\lambda\boldsymbol{b})\perp(\boldsymbol{a}+\mu\boldsymbol{b})$,(题眼)所以$(\boldsymbol{a}+\lambda\boldsymbol{b})\cdot(\boldsymbol{a}+\mu\boldsymbol{b}) = 0$,(易错警示:两向量垂直,其数量积为0,注意与两直线垂直(两直线的斜率存在),其斜率之积为 - 1的区别)所以$(1 + \lambda)(1 + \mu)+(1 - \lambda)(1 - \mu)=0$,整理得$\lambda\mu=-1$.故选D.
命题分析 向量是数学研究的重要对象和工具,在其他学科中也有重要应用.向量是连接代数与几何的桥梁之一,通过向量可以将几何问题和代数问题有机结合起来,既可以通过代数运算得到几何不变量和几何量之间的关系,也可以利用代数关系赋予几何直观严格的论证.试题考查向量的概念、向量的位置关系、向量的运算和向量运算的几何意义等知识.考查的内容源于教材,面向全体学生.试题立足基本概念和方法,属于简单题目.试题设置能让学生增强自信心,有利于学生正常发挥.
命题分析 向量是数学研究的重要对象和工具,在其他学科中也有重要应用.向量是连接代数与几何的桥梁之一,通过向量可以将几何问题和代数问题有机结合起来,既可以通过代数运算得到几何不变量和几何量之间的关系,也可以利用代数关系赋予几何直观严格的论证.试题考查向量的概念、向量的位置关系、向量的运算和向量运算的几何意义等知识.考查的内容源于教材,面向全体学生.试题立足基本概念和方法,属于简单题目.试题设置能让学生增强自信心,有利于学生正常发挥.
4. 设函数$f( x ) = 2^{x(x - a)}$在区间$( 0,1 )$单调递减,则$a$的取值范围是
A. $( - \infty, - 2 ]$
B. $[ - 2,0 )$
C. $( 0,2 ]$
D. $[ 2, + \infty )$
A. $( - \infty, - 2 ]$
B. $[ - 2,0 )$
C. $( 0,2 ]$
D. $[ 2, + \infty )$
答案:
4.D 复合函数的单调性(理性思维) 通解(复合函数法) 由题意得$y = x(x - a)=(x-\frac{a}{2})^{2}-\frac{a^{2}}{4}$在区间$(0,1)$单调递减,(方法技巧:“同增异减”)根据二次函数性质,此时区间$(0,1)$应在二次函数对称轴$x=\frac{a}{2}$的左侧,即$\frac{a}{2}\geqslant1$,解得$a\geqslant2$.故选D.
光速解(特值法) 取$a = 3$,则$y = x(x - 3)=(x-\frac{3}{2})^{2}-\frac{9}{4}$在$(0,1)$单调递减,所以$f(x)=2^{x(x - 3)}$在$(0,1)$单调递减,所以$a = 3$符合题意,排除A,B,C,故选D.
光速解(特值法) 取$a = 3$,则$y = x(x - 3)=(x-\frac{3}{2})^{2}-\frac{9}{4}$在$(0,1)$单调递减,所以$f(x)=2^{x(x - 3)}$在$(0,1)$单调递减,所以$a = 3$符合题意,排除A,B,C,故选D.
5. 设椭圆$C_{1}:\frac{x^{2}}{a^{2}} + y^{2} = 1(a > 1)$,$C_{2}:\frac{x^{2}}{4} + y^{2} = 1$的离心率分别为$e_{1}$,$e_{2}$,若$e_{2} = \sqrt{3}e_{1}$,则$a =$
A. $\frac{2\sqrt{3}}{3}$
B. $\sqrt{2}$
C. $\sqrt{3}$
D. $\sqrt{6}$
A. $\frac{2\sqrt{3}}{3}$
B. $\sqrt{2}$
C. $\sqrt{3}$
D. $\sqrt{6}$
答案:
5.A 椭圆的离心率(逻辑思维能力、运算求解能力) 解法一(直接求解法) 由已知得$e_{1}=\frac{\sqrt{a^{2}-1}}{a}$,$e_{2}=\frac{\sqrt{4 - 1}}{2}=\frac{\sqrt{3}}{2}$,因为$e_{2}=\sqrt{3}e_{1}$,所以$\frac{\sqrt{3}}{2}=\sqrt{3}\times\frac{\sqrt{a^{2}-1}}{a}$,得$a=\frac{2\sqrt{3}}{3}$.故选A.
解法二(选项代入验证法) 若$a=\frac{2\sqrt{3}}{3}$,则$e_{1}=\frac{\sqrt{a^{2}-1}}{a}=\frac{\sqrt{(\frac{2\sqrt{3}}{3})^{2}-1}}{\frac{2\sqrt{3}}{3}}=\frac{1}{2}$,又$e_{2}=\frac{\sqrt{3}}{2}$,所以$e_{2}=\sqrt{3}e_{1}$,所以$a=\frac{2\sqrt{3}}{3}$符合题意,由于是单选题,故选A.
解法二(选项代入验证法) 若$a=\frac{2\sqrt{3}}{3}$,则$e_{1}=\frac{\sqrt{a^{2}-1}}{a}=\frac{\sqrt{(\frac{2\sqrt{3}}{3})^{2}-1}}{\frac{2\sqrt{3}}{3}}=\frac{1}{2}$,又$e_{2}=\frac{\sqrt{3}}{2}$,所以$e_{2}=\sqrt{3}e_{1}$,所以$a=\frac{2\sqrt{3}}{3}$符合题意,由于是单选题,故选A.
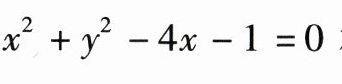
6.过点(0,-2)与圆
相切的两条直线的夹角为$\alpha$,则$\sin\alpha=$
A. 1
B. $\frac{\sqrt{15}}{4}$
C. $\frac{\sqrt{10}}{4}$
D. $\frac{\sqrt{6}}{4}$
A. 1
B. $\frac{\sqrt{15}}{4}$
C. $\frac{\sqrt{10}}{4}$
D. $\frac{\sqrt{6}}{4}$
答案:
B 直线和圆的位置关系 + 两点间距离公式 + 两直线夹角的概念和计算 + 同角三角函数的基本关系 如图,由已知,圆的标准方程为$(x - 2)^{2}+y^{2}=5$,圆心为$C(2,0)$。设$A(0,-2)$,切点$P_{i}(x_{i},y_{i})$,$i = 1,2$,连接$CP_{1}$,$AC$,则$|CP_{1}|=\sqrt{5}$,$|AC|=\sqrt{(0 - 2)^{2}+(-2 - 0)^{2}}=2\sqrt{2}$,又$CP_{1}\perp AP_{1}$,故$|P_{1}A|=\sqrt{|AC|^{2}-|CP_{1}|^{2}}=\sqrt{3}$。

解法一 由题意,在$Rt\triangle AP_{1}C$中,$\angle CAP_{1}=\frac{\alpha}{2}$,故$\sin\frac{\alpha}{2}=\frac{|CP_{1}|}{|CA|}=\frac{\sqrt{5}}{2\sqrt{2}}=\frac{\sqrt{10}}{4}$,又$0\leq\frac{\alpha}{2}\leq\frac{\pi}{2}$,得$\cos\frac{\alpha}{2}=\sqrt{1-\sin^{2}\frac{\alpha}{2}}=\frac{\sqrt{6}}{4}$,所以$\sin\alpha = 2\sin\frac{\alpha}{2}\cos\frac{\alpha}{2}=\frac{\sqrt{15}}{4}$,故选 B。
解法二 设切线斜率为$k$,则切线方程为$y = kx - 2$,代入圆方程$x^{2}+y^{2}-4x - 1 = 0$,可得$(1 + k^{2})x^{2}-(4k + 4)x + 3 = 0$,由$\Delta=(4k + 4)^{2}-12(1 + k^{2}) = 0$,得两条切线$AP_{1}$,$AP_{2}$的斜率$k_{1}$,$k_{2}$满足一元二次方程$k^{2}+8k + 1 = 0$,且$k_{1}+k_{2}=-8$,$k_{1}k_{2}=1$,因此$|\tan\alpha|=|\frac{k_{2}-k_{1}}{1 + k_{1}k_{2}}|=\frac{\sqrt{(k_{1}+k_{2})^{2}-4k_{1}k_{2}}}{1 + k_{1}k_{2}}=\sqrt{15}$,故$\sin\alpha=\frac{\sqrt{15}}{4}$,故选 B。
解法三 连接$CP_{2}$,由$AP_{i}\perp CP_{i}$,可得$\frac{y_{i}}{x_{i}-2}\cdot\frac{y_{i}+2}{x_{i}}=-1$,又$x_{i}^{2}+y_{i}^{2}-4x_{i}-1 = 0$,所以$2x_{i}^{2}-3x_{i}-\frac{3}{4}=0$,且$y_{i}=-x_{i}-\frac{1}{2}$,则$x_{1}+x_{2}=\frac{3}{2}$,$x_{1}x_{2}=-\frac{3}{8}$,连接$P_{1}P_{2}$,易知直线$P_{1}P_{2}$的斜率为$-1$,从而两个切点间的距离$|P_{1}P_{2}|=\sqrt{2}|x_{1}-x_{2}|=\sqrt{2}\sqrt{(x_{1}+x_{2})^{2}-4x_{1}x_{2}}=\frac{\sqrt{30}}{2}$。在$\triangle AP_{1}P_{2}$中,$|P_{1}A|=|P_{2}A|=\sqrt{3}$,由余弦定理可得$\cos\alpha=-\frac{1}{4}$,所以$\sin\alpha=\frac{\sqrt{15}}{4}$,故选 B。
解法四 连接$CP_{2}$,由$AP_{i}\perp CP_{i}$,$\angle CAP_{1}=\angle CAP_{2}$,可知$P_{1}P_{2}\perp AC$,四边形$AP_{1}CP_{2}$的面积为$\frac{1}{2}\times|AC|\times|P_{1}P_{2}|=|AP_{1}|\times|CP_{1}|$,得$|P_{1}P_{2}|=\frac{\sqrt{30}}{2}$。在$\triangle AP_{1}P_{2}$中,由余弦定理可得$\cos\alpha=-\frac{1}{4}$,所以$\sin\alpha=\frac{\sqrt{15}}{4}$,故选 B。
命题分析 直线和圆的位置关系、两点间距离公式都是解析几何中最基本的知识,同角三角函数的基本关系是三角函数中的重要内容。本题将以上三个知识点有机结合,考查学生对圆的切线、两条直线夹角等基本概念的理解和掌握,提示学生综合运用有关解析几何和三角函数知识并熟练运算。学生既可以利用两条切线与圆的位置关系并结合两点间距离公式、二倍角公式得到答案;也可先设切线的斜率,写出切线方程并与圆的方程联立,找到两条切线斜率满足的方程,最后利用斜率与两条切线夹角的关系得到答案;还有其他思路均可解答本题。试题立足基础知识,题干清晰、简洁,数量关系明显,方法多样,运算量较小,注重知识点的综合和正确应用,能有效发挥对中等程度学生的区分作用。
解题关键 破解此类题的思维瓶颈:一是作草图,即能作出符合题意的圆与切线;二是会用性质,即会利用圆外一点与圆心的连线平分过圆外的该点的圆的两切线的夹角;三是活用公式,即会利用同角三角函数的基本关系与二倍角的正弦公式,求出两切线夹角的正弦值。
B 直线和圆的位置关系 + 两点间距离公式 + 两直线夹角的概念和计算 + 同角三角函数的基本关系 如图,由已知,圆的标准方程为$(x - 2)^{2}+y^{2}=5$,圆心为$C(2,0)$。设$A(0,-2)$,切点$P_{i}(x_{i},y_{i})$,$i = 1,2$,连接$CP_{1}$,$AC$,则$|CP_{1}|=\sqrt{5}$,$|AC|=\sqrt{(0 - 2)^{2}+(-2 - 0)^{2}}=2\sqrt{2}$,又$CP_{1}\perp AP_{1}$,故$|P_{1}A|=\sqrt{|AC|^{2}-|CP_{1}|^{2}}=\sqrt{3}$。
解法一 由题意,在$Rt\triangle AP_{1}C$中,$\angle CAP_{1}=\frac{\alpha}{2}$,故$\sin\frac{\alpha}{2}=\frac{|CP_{1}|}{|CA|}=\frac{\sqrt{5}}{2\sqrt{2}}=\frac{\sqrt{10}}{4}$,又$0\leq\frac{\alpha}{2}\leq\frac{\pi}{2}$,得$\cos\frac{\alpha}{2}=\sqrt{1-\sin^{2}\frac{\alpha}{2}}=\frac{\sqrt{6}}{4}$,所以$\sin\alpha = 2\sin\frac{\alpha}{2}\cos\frac{\alpha}{2}=\frac{\sqrt{15}}{4}$,故选 B。
解法二 设切线斜率为$k$,则切线方程为$y = kx - 2$,代入圆方程$x^{2}+y^{2}-4x - 1 = 0$,可得$(1 + k^{2})x^{2}-(4k + 4)x + 3 = 0$,由$\Delta=(4k + 4)^{2}-12(1 + k^{2}) = 0$,得两条切线$AP_{1}$,$AP_{2}$的斜率$k_{1}$,$k_{2}$满足一元二次方程$k^{2}+8k + 1 = 0$,且$k_{1}+k_{2}=-8$,$k_{1}k_{2}=1$,因此$|\tan\alpha|=|\frac{k_{2}-k_{1}}{1 + k_{1}k_{2}}|=\frac{\sqrt{(k_{1}+k_{2})^{2}-4k_{1}k_{2}}}{1 + k_{1}k_{2}}=\sqrt{15}$,故$\sin\alpha=\frac{\sqrt{15}}{4}$,故选 B。
解法三 连接$CP_{2}$,由$AP_{i}\perp CP_{i}$,可得$\frac{y_{i}}{x_{i}-2}\cdot\frac{y_{i}+2}{x_{i}}=-1$,又$x_{i}^{2}+y_{i}^{2}-4x_{i}-1 = 0$,所以$2x_{i}^{2}-3x_{i}-\frac{3}{4}=0$,且$y_{i}=-x_{i}-\frac{1}{2}$,则$x_{1}+x_{2}=\frac{3}{2}$,$x_{1}x_{2}=-\frac{3}{8}$,连接$P_{1}P_{2}$,易知直线$P_{1}P_{2}$的斜率为$-1$,从而两个切点间的距离$|P_{1}P_{2}|=\sqrt{2}|x_{1}-x_{2}|=\sqrt{2}\sqrt{(x_{1}+x_{2})^{2}-4x_{1}x_{2}}=\frac{\sqrt{30}}{2}$。在$\triangle AP_{1}P_{2}$中,$|P_{1}A|=|P_{2}A|=\sqrt{3}$,由余弦定理可得$\cos\alpha=-\frac{1}{4}$,所以$\sin\alpha=\frac{\sqrt{15}}{4}$,故选 B。
解法四 连接$CP_{2}$,由$AP_{i}\perp CP_{i}$,$\angle CAP_{1}=\angle CAP_{2}$,可知$P_{1}P_{2}\perp AC$,四边形$AP_{1}CP_{2}$的面积为$\frac{1}{2}\times|AC|\times|P_{1}P_{2}|=|AP_{1}|\times|CP_{1}|$,得$|P_{1}P_{2}|=\frac{\sqrt{30}}{2}$。在$\triangle AP_{1}P_{2}$中,由余弦定理可得$\cos\alpha=-\frac{1}{4}$,所以$\sin\alpha=\frac{\sqrt{15}}{4}$,故选 B。
命题分析 直线和圆的位置关系、两点间距离公式都是解析几何中最基本的知识,同角三角函数的基本关系是三角函数中的重要内容。本题将以上三个知识点有机结合,考查学生对圆的切线、两条直线夹角等基本概念的理解和掌握,提示学生综合运用有关解析几何和三角函数知识并熟练运算。学生既可以利用两条切线与圆的位置关系并结合两点间距离公式、二倍角公式得到答案;也可先设切线的斜率,写出切线方程并与圆的方程联立,找到两条切线斜率满足的方程,最后利用斜率与两条切线夹角的关系得到答案;还有其他思路均可解答本题。试题立足基础知识,题干清晰、简洁,数量关系明显,方法多样,运算量较小,注重知识点的综合和正确应用,能有效发挥对中等程度学生的区分作用。
解题关键 破解此类题的思维瓶颈:一是作草图,即能作出符合题意的圆与切线;二是会用性质,即会利用圆外一点与圆心的连线平分过圆外的该点的圆的两切线的夹角;三是活用公式,即会利用同角三角函数的基本关系与二倍角的正弦公式,求出两切线夹角的正弦值。
7. 设$S_{n}$为数列$\{a_{n}\}$的前$n$项和,设甲:$\{a_{n}\}$为等差数列;乙:$\{\frac{S_{n}}{n}\}$为等差数列. 则
A. 甲是乙的充分条件但不是必要条件
B. 甲是乙的必要条件但不是充分条件
C. 甲是乙的充要条件
D. 甲既不是乙的充分条件也不是乙的必要条件
A. 甲是乙的充分条件但不是必要条件
B. 甲是乙的必要条件但不是充分条件
C. 甲是乙的充要条件
D. 甲既不是乙的充分条件也不是乙的必要条件
答案:
7. C 等差数列的定义、通项公式与前$n$项和公式 + 充分必要条件的判断(逻辑思维能力、运算求解能力) 若$\{a_{n}\}$为等差数列,设其公差为$d$,则$a_{n}=a_{1}+(n - 1)d$,所以$S_{n}=na_{1}+\frac{n(n - 1)}{2}d$,所以$\frac{S_{n}}{n}=a_{1}+(n - 1)\cdot\frac{d}{2}$,所以$\frac{S_{n + 1}}{n + 1}-\frac{S_{n}}{n}=a_{1}+(n + 1 - 1)\cdot\frac{d}{2}-[a_{1}+(n - 1)\cdot\frac{d}{2}]=\frac{d}{2}$,为常数,(等差数列的定义)所以$\{\frac{S_{n}}{n}\}$为等差数列,即甲是乙的充分条件;若$\{\frac{S_{n}}{n}\}$为等差数列,设其公差为$m$,则$\frac{S_{n}}{n}=\frac{S_{1}}{1}+(n - 1)m=a_{1}+(n - 1)m$,所以$S_{n}=na_{1}+n(n - 1)m$,所以$a_{n + 1}=S_{n + 1}-S_{n}=[(n + 1)a_{1}+n(n + 1)m]-[na_{1}+n(n - 1)m]=a_{1}+n\cdot(2m)$,所以$\{a_{n}\}$是首项为$a_{1}$,公差为$2m$的等差数列,即甲是乙的必要条件。(另解:所以当$n\geq2$时,$a_{n}=S_{n}-S_{n - 1}=na_{1}+n(n - 1)m-[(n - 1)a_{1}+(n - 1)(n - 2)m]=a_{1}+2(n - 1)m$,当$n = 1$时,$S_{1}=a_{1}$也满足上式,所以$a_{n}=a_{1}+2(n - 1)m(n\in N^{*})$,所以$a_{n + 1}-a_{n}=a_{1}+2(n + 1 - 1)m-[a_{1}+2(n - 1)m]=2m$,为常数,所以$\{a_{n}\}$为等差数列,即甲是乙的必要条件)所以甲是乙的充要条件,故选 C。
考情速递 逻辑推理素养是高考重点考查的内容 本题以等差数列为材料考查充要条件的推证。要求考生判别充分性和必要性,然后分别进行证明。当$\{a_{n}\}$为等差数列时,$S_{n}$可以用$n$的常数项为$0$的一元二次表达式表示,那么,$\frac{S_{n}}{n}$可以用$n$的一元一次表达式给出,所以,$\{\frac{S_{n}}{n}\}$为等差数列。另一方面,当$\{\frac{S_{n}}{n}\}$为等差数列时,数列$\{a_{n}\}$通项可以用$\{\frac{S_{n}}{n}\}$的公差和$n$表示,从而判断$\{a_{n}\}$为等差数列。解决问题的关键是利用等差数列的概念和特点进行推理论证。
考教衔接 本题以人教 A 版选择性必修第二册第四章 4.2.2 等差数列的前$n$项和公式为载体,参照人教 A 版必修第一册第一章 1.4.2 充要条件命制。
考情速递 逻辑推理素养是高考重点考查的内容 本题以等差数列为材料考查充要条件的推证。要求考生判别充分性和必要性,然后分别进行证明。当$\{a_{n}\}$为等差数列时,$S_{n}$可以用$n$的常数项为$0$的一元二次表达式表示,那么,$\frac{S_{n}}{n}$可以用$n$的一元一次表达式给出,所以,$\{\frac{S_{n}}{n}\}$为等差数列。另一方面,当$\{\frac{S_{n}}{n}\}$为等差数列时,数列$\{a_{n}\}$通项可以用$\{\frac{S_{n}}{n}\}$的公差和$n$表示,从而判断$\{a_{n}\}$为等差数列。解决问题的关键是利用等差数列的概念和特点进行推理论证。
考教衔接 本题以人教 A 版选择性必修第二册第四章 4.2.2 等差数列的前$n$项和公式为载体,参照人教 A 版必修第一册第一章 1.4.2 充要条件命制。
8. 已知$\sin(\alpha - \beta)=\frac{1}{3},\cos\alpha\sin\beta=\frac{1}{6}$,则$\cos(2\alpha + 2\beta)=$
A. $\frac{7}{9}$
B. $\frac{1}{9}$
C. $-\frac{1}{9}$
D. $-\frac{7}{9}$
A. $\frac{7}{9}$
B. $\frac{1}{9}$
C. $-\frac{1}{9}$
D. $-\frac{7}{9}$
答案:
8.B 两角和与差的正弦公式+二倍角的余弦公式(运算求解能力、逻辑思维能力) 解法一 依题意,得$\begin{cases}\sin\alpha\cos\beta-\cos\alpha\sin\beta=\frac{1}{3}\\\cos\alpha\sin\beta=\frac{1}{6}\end{cases}$,所以$\sin\alpha\cos\beta=\frac{1}{2}$,(突破瓶颈:需观察题干中所求的$\cos(2\alpha + 2\beta)$的特征,利用二倍角的余弦公式,即可转化为两角和的正弦公式)所以$\sin(\alpha + \beta)=\sin\alpha\cos\beta+\cos\alpha\sin\beta=\frac{1}{2}+\frac{1}{6}=\frac{2}{3}$,(易错警示:一是混淆两角差的正弦公式与余弦公式的区别;二是混淆两角差的正弦公式与两角和的正弦公式的区别)所以$\cos(2\alpha + 2\beta)=1 - 2\sin^{2}(\alpha + \beta)=1 - 2\times(\frac{2}{3})^{2}=\frac{1}{9}$,故选B.
解法二 设$\sin(\alpha + \beta)=m$,则$\cos(2\alpha + 2\beta)=\cos2(\alpha + \beta)=1 - 2\sin^{2}(\alpha + \beta)=1 - 2m^{2}$,$\sin(\alpha + \beta)-\sin(\alpha - \beta)=m - \frac{1}{3}$. 而$\sin(\alpha + \beta)-\sin(\alpha - \beta)=2\cos\alpha\sin\beta=\frac{1}{3}$,所以$m - \frac{1}{3}=\frac{1}{3}$,即$m=\frac{2}{3}$,从而$\cos(2\alpha + 2\beta)=1 - 2m^{2}=\frac{1}{9}$,故选B.
解法三 $\cos(2\alpha + 2\beta)=\cos2(\alpha + \beta)=\frac{1 - \tan^{2}(\alpha + \beta)}{1 + \tan^{2}(\alpha + \beta)}$,(万能公式:$\cos\alpha=\frac{1 - \tan^{2}\frac{\alpha}{2}}{1 + \tan^{2}\frac{\alpha}{2}}$)下面求$\tan(\alpha + \beta)$. 利用两角差的正弦公式可得$\sin(\alpha - \beta)=\sin\alpha\cos\beta-\cos\alpha\sin\beta=\frac{1}{3}$,将$\cos\alpha\sin\beta=\frac{1}{6}$代入上式得$\sin\alpha\cos\beta=\frac{1}{2}$,两式相除可得$\tan\alpha = 3\tan\beta$,故$\tan(\alpha + \beta)=\frac{\tan\alpha+\tan\beta}{1 - \tan\alpha\tan\beta}=\frac{4\tan\beta}{1 - 3\tan^{2}\beta}$ ①. 由上可得$\cos\alpha=\frac{1}{6\sin\beta}$,$\sin\alpha=\frac{1}{2\cos\beta}$,两式平方相加可得$1=\frac{1}{36\sin^{2}\beta}+\frac{1}{4\cos^{2}\beta}$,化简得$9\tan^{2}\beta+\frac{1}{\tan^{2}\beta}=26$ ②.(提示:$1=\frac{1}{36\sin^{2}\beta}+\frac{1}{4\cos^{2}\beta}\Leftrightarrow36\sin^{2}\beta\cos^{2}\beta=\cos^{2}\beta + 9\sin^{2}\beta\Leftrightarrow9\sin^{2}2\beta=5 - 4\cos2\beta\Leftrightarrow9\times(\frac{2\tan\beta}{1 + \tan^{2}\beta})^{2}=5 - 4\times\frac{1 - \tan^{2}\beta}{1 + \tan^{2}\beta}\Leftrightarrow9\tan^{2}\beta+\frac{1}{\tan^{2}\beta}=26$)所以由①②得$\tan^{2}(\alpha + \beta)=\frac{16}{(3\tan\beta-\frac{1}{\tan\beta})^{2}}=\frac{16}{9\tan^{2}\beta+\frac{1}{\tan^{2}\beta}-6}=\frac{4}{5}$,从而$\cos(2\alpha + 2\beta)=\frac{1 - \tan^{2}(\alpha + \beta)}{1 + \tan^{2}(\alpha + \beta)}=\frac{1}{9}$,故选B.
解法四 $\cos(2\alpha + 2\beta)=\cos2\alpha\cos2\beta-\sin2\alpha\sin2\beta$,下面分别求$\cos2\alpha\cos2\beta$和$\sin2\alpha\sin2\beta$. $\sin(\alpha - \beta)=\sin\alpha\cos\beta-\cos\alpha\sin\beta=\frac{1}{3}$,将$\cos\alpha\sin\beta=\frac{1}{6}$代入上式得$\sin\alpha\cos\beta=\frac{1}{2}$,故$\sin2\alpha\sin2\beta=4(\sin\alpha\cos\beta)(\cos\alpha\sin\beta)=\frac{1}{3}$. 由上可得$(\cos\alpha\sin\beta)^{2}+(\sin\alpha\cos\beta)^{2}=\frac{1}{36}+\frac{1}{4}$,即$\frac{1 + \cos2\alpha}{2}\cdot\frac{1 - \cos2\beta}{2}+\frac{1 - \cos2\alpha}{2}\cdot\frac{1 + \cos2\beta}{2}=\frac{5}{18}$,可得$\cos2\alpha\cos2\beta=\frac{4}{9}$. 所以$\cos(2\alpha + 2\beta)=\frac{4}{9}-\frac{1}{3}=\frac{1}{9}$,故选B.
考情速递 从重考查知识回忆,到重考查思维过程 本题看似如以往所考查的知三角函数值求三角函数值,但细品命题的切入点,会发现其解题关键是明晰整体视元,学生若只想把$\alpha,\beta$的正、余弦值分别求出来,则会绕一大圈,空手而归.
考教衔接 本题来源于人教A版必修第一册P229习题5.5第9题.
解法二 设$\sin(\alpha + \beta)=m$,则$\cos(2\alpha + 2\beta)=\cos2(\alpha + \beta)=1 - 2\sin^{2}(\alpha + \beta)=1 - 2m^{2}$,$\sin(\alpha + \beta)-\sin(\alpha - \beta)=m - \frac{1}{3}$. 而$\sin(\alpha + \beta)-\sin(\alpha - \beta)=2\cos\alpha\sin\beta=\frac{1}{3}$,所以$m - \frac{1}{3}=\frac{1}{3}$,即$m=\frac{2}{3}$,从而$\cos(2\alpha + 2\beta)=1 - 2m^{2}=\frac{1}{9}$,故选B.
解法三 $\cos(2\alpha + 2\beta)=\cos2(\alpha + \beta)=\frac{1 - \tan^{2}(\alpha + \beta)}{1 + \tan^{2}(\alpha + \beta)}$,(万能公式:$\cos\alpha=\frac{1 - \tan^{2}\frac{\alpha}{2}}{1 + \tan^{2}\frac{\alpha}{2}}$)下面求$\tan(\alpha + \beta)$. 利用两角差的正弦公式可得$\sin(\alpha - \beta)=\sin\alpha\cos\beta-\cos\alpha\sin\beta=\frac{1}{3}$,将$\cos\alpha\sin\beta=\frac{1}{6}$代入上式得$\sin\alpha\cos\beta=\frac{1}{2}$,两式相除可得$\tan\alpha = 3\tan\beta$,故$\tan(\alpha + \beta)=\frac{\tan\alpha+\tan\beta}{1 - \tan\alpha\tan\beta}=\frac{4\tan\beta}{1 - 3\tan^{2}\beta}$ ①. 由上可得$\cos\alpha=\frac{1}{6\sin\beta}$,$\sin\alpha=\frac{1}{2\cos\beta}$,两式平方相加可得$1=\frac{1}{36\sin^{2}\beta}+\frac{1}{4\cos^{2}\beta}$,化简得$9\tan^{2}\beta+\frac{1}{\tan^{2}\beta}=26$ ②.(提示:$1=\frac{1}{36\sin^{2}\beta}+\frac{1}{4\cos^{2}\beta}\Leftrightarrow36\sin^{2}\beta\cos^{2}\beta=\cos^{2}\beta + 9\sin^{2}\beta\Leftrightarrow9\sin^{2}2\beta=5 - 4\cos2\beta\Leftrightarrow9\times(\frac{2\tan\beta}{1 + \tan^{2}\beta})^{2}=5 - 4\times\frac{1 - \tan^{2}\beta}{1 + \tan^{2}\beta}\Leftrightarrow9\tan^{2}\beta+\frac{1}{\tan^{2}\beta}=26$)所以由①②得$\tan^{2}(\alpha + \beta)=\frac{16}{(3\tan\beta-\frac{1}{\tan\beta})^{2}}=\frac{16}{9\tan^{2}\beta+\frac{1}{\tan^{2}\beta}-6}=\frac{4}{5}$,从而$\cos(2\alpha + 2\beta)=\frac{1 - \tan^{2}(\alpha + \beta)}{1 + \tan^{2}(\alpha + \beta)}=\frac{1}{9}$,故选B.
解法四 $\cos(2\alpha + 2\beta)=\cos2\alpha\cos2\beta-\sin2\alpha\sin2\beta$,下面分别求$\cos2\alpha\cos2\beta$和$\sin2\alpha\sin2\beta$. $\sin(\alpha - \beta)=\sin\alpha\cos\beta-\cos\alpha\sin\beta=\frac{1}{3}$,将$\cos\alpha\sin\beta=\frac{1}{6}$代入上式得$\sin\alpha\cos\beta=\frac{1}{2}$,故$\sin2\alpha\sin2\beta=4(\sin\alpha\cos\beta)(\cos\alpha\sin\beta)=\frac{1}{3}$. 由上可得$(\cos\alpha\sin\beta)^{2}+(\sin\alpha\cos\beta)^{2}=\frac{1}{36}+\frac{1}{4}$,即$\frac{1 + \cos2\alpha}{2}\cdot\frac{1 - \cos2\beta}{2}+\frac{1 - \cos2\alpha}{2}\cdot\frac{1 + \cos2\beta}{2}=\frac{5}{18}$,可得$\cos2\alpha\cos2\beta=\frac{4}{9}$. 所以$\cos(2\alpha + 2\beta)=\frac{4}{9}-\frac{1}{3}=\frac{1}{9}$,故选B.
考情速递 从重考查知识回忆,到重考查思维过程 本题看似如以往所考查的知三角函数值求三角函数值,但细品命题的切入点,会发现其解题关键是明晰整体视元,学生若只想把$\alpha,\beta$的正、余弦值分别求出来,则会绕一大圈,空手而归.
考教衔接 本题来源于人教A版必修第一册P229习题5.5第9题.
9. 有一组样本数据$x_1,x_2,\cdots,x_6$,其中$x_1$是最小值,$x_6$是最大值,则
A. $x_2,x_3,x_4,x_5$的平均数等于$x_1,x_2,\cdots,x_6$的平均数
B. $x_2,x_3,x_4,x_5$的中位数等于$x_1,x_2,\cdots,x_6$的中位数
C. $x_2,x_3,x_4,x_5$的标准差不小于$x_1,x_2,\cdots,x_6$的标准差
D. $x_2,x_3,x_4,x_5$的极差不大于$x_1,x_2,\cdots,x_6$的极差
A. $x_2,x_3,x_4,x_5$的平均数等于$x_1,x_2,\cdots,x_6$的平均数
B. $x_2,x_3,x_4,x_5$的中位数等于$x_1,x_2,\cdots,x_6$的中位数
C. $x_2,x_3,x_4,x_5$的标准差不小于$x_1,x_2,\cdots,x_6$的标准差
D. $x_2,x_3,x_4,x_5$的极差不大于$x_1,x_2,\cdots,x_6$的极差
答案:
9.BD 样本数据的平均数、中位数、标准差、极差(理性思维、数学应用) 解法一 由样本平均数的概念,得$x_{1},x_{2},\cdots,x_{6}$的平均数$\overline{x}=\frac{1}{6}(x_{1}+x_{2}+\cdots+x_{6})$,$x_{2},x_{3},x_{4},x_{5}$的平均数$\overline{y}=\frac{1}{4}(x_{2}+\cdots+x_{5})$. 因为样本平均数与所有数据都有关,样本中任何一个数据的改变都可能会引起平均数的改变,所以$\overline{x}$和$\overline{y}$二者之间没有确定的大小关系.如果具体计算,可设$\overline{z}=\frac{1}{2}(x_{1}+x_{6})$,显然有$\overline{x}=\frac{2}{3}\overline{y}+\frac{1}{3}\overline{z}$,则$\overline{x}=\overline{y}$,当且仅当$\overline{z}=\overline{y}$时成立. A错误.
为比较样本中位数,不妨设$x_{2}\leq x_{3}\leq x_{4}\leq x_{5}$,则$x_{1}\leq x_{2}\leq x_{3}\leq x_{4}\leq x_{5}\leq x_{6}$,由中位数定义知,$x_{1},x_{2},\cdots,x_{6}$的中位数为$\frac{x_{3}+x_{4}}{2}$. 去掉最小值$x_{1}$和最大值$x_{6}$后,$x_{2},x_{3},x_{4},x_{5}$的大小关系没有发生变化,故$x_{2},x_{3},x_{4},x_{5}$的中位数仍为$\frac{x_{3}+x_{4}}{2}$. B正确.
为比较样本标准差,注意标准差反映数据的离散程度和波动程度. 直观上看,去掉数据的最小值$x_{1}$,最大值$x_{6}$,标准差不会变大;特别地,当$x_{1}\lt x_{6}$且$x_{2}=x_{3}=x_{4}=x_{5}$时,$x_{1},x_{2},\cdots,x_{6}$的标准差大于零,$x_{2},x_{3},x_{4},x_{5}$的标准差等于零,此时$x_{2},x_{3},x_{4},x_{5}$的标准差小于$x_{1},x_{2},\cdots,x_{6}$的标准差. C错误.
为比较样本极差,不妨设$x_{1}\leq x_{2}\leq x_{3}\leq x_{4}\leq x_{5}\leq x_{6}$,由极差定义,$x_{1},x_{2},\cdots,x_{6}$的极差为$x_{6}-x_{1}$,$x_{2},x_{3},x_{4},x_{5}$的极差为$x_{5}-x_{2}$,故$x_{2},x_{3},x_{4},x_{5}$的极差不大于$x_{1},x_{2},\cdots,x_{6}$的极差. D正确. 故选BD.
解法二 取$x_{1}=1,x_{2}=x_{3}=x_{4}=x_{5}=2,x_{6}=9$,(指点迷津:适时举特例,可快速排除)则$x_{2},x_{3},x_{4},x_{5}$的平均数等于2,标准差为0,$x_{1},x_{2},\cdots,x_{6}$的平均数等于3,标准差为$\sqrt{\frac{22}{3}}=\frac{\sqrt{66}}{3}$,故A,C均不正确;(技巧:由于是多选题,故可排除A,C,即选BD)根据中位数的定义,将$x_{1},x_{2},\cdots,x_{6}$按从小到大的顺序进行排列,中位数是中间两个数的算术平均数,由于$x_{1}$是最小值,$x_{6}$是最大值,故$x_{2},x_{3},x_{4},x_{5}$的中位数是将$x_{2},x_{3},x_{4},x_{5}$按从小到大的顺序排列后中间两个数的算术平均数,与$x_{1},x_{2},\cdots,x_{6}$的中位数相等,故B正确;根据极差的定义,知$x_{2},x_{3},x_{4},x_{5}$的极差不大于$x_{1},x_{2},\cdots,x_{6}$的极差,故D正确. 综上,选BD.
考情速递 深刻理解基本概念、基本原理 本题考查统计抽样中样本的基本数字特征,考查考生对样本的平均数、标准差、中位数、极差概念的理解和掌握,考查考生分析问题和解决问题的能力. 试题给出一组抽象的样本数据$x_{1},x_{2},\cdots,x_{6}$,并给出$x_{1}$是最小值,$x_{6}$是最大值,4个选项分别考查学生对平均数、中位数、标准差和极差的深刻理解和灵活应用,不但注重试题的基础性,而且使基础知识的考查和能力的考查有机结合.
为比较样本中位数,不妨设$x_{2}\leq x_{3}\leq x_{4}\leq x_{5}$,则$x_{1}\leq x_{2}\leq x_{3}\leq x_{4}\leq x_{5}\leq x_{6}$,由中位数定义知,$x_{1},x_{2},\cdots,x_{6}$的中位数为$\frac{x_{3}+x_{4}}{2}$. 去掉最小值$x_{1}$和最大值$x_{6}$后,$x_{2},x_{3},x_{4},x_{5}$的大小关系没有发生变化,故$x_{2},x_{3},x_{4},x_{5}$的中位数仍为$\frac{x_{3}+x_{4}}{2}$. B正确.
为比较样本标准差,注意标准差反映数据的离散程度和波动程度. 直观上看,去掉数据的最小值$x_{1}$,最大值$x_{6}$,标准差不会变大;特别地,当$x_{1}\lt x_{6}$且$x_{2}=x_{3}=x_{4}=x_{5}$时,$x_{1},x_{2},\cdots,x_{6}$的标准差大于零,$x_{2},x_{3},x_{4},x_{5}$的标准差等于零,此时$x_{2},x_{3},x_{4},x_{5}$的标准差小于$x_{1},x_{2},\cdots,x_{6}$的标准差. C错误.
为比较样本极差,不妨设$x_{1}\leq x_{2}\leq x_{3}\leq x_{4}\leq x_{5}\leq x_{6}$,由极差定义,$x_{1},x_{2},\cdots,x_{6}$的极差为$x_{6}-x_{1}$,$x_{2},x_{3},x_{4},x_{5}$的极差为$x_{5}-x_{2}$,故$x_{2},x_{3},x_{4},x_{5}$的极差不大于$x_{1},x_{2},\cdots,x_{6}$的极差. D正确. 故选BD.
解法二 取$x_{1}=1,x_{2}=x_{3}=x_{4}=x_{5}=2,x_{6}=9$,(指点迷津:适时举特例,可快速排除)则$x_{2},x_{3},x_{4},x_{5}$的平均数等于2,标准差为0,$x_{1},x_{2},\cdots,x_{6}$的平均数等于3,标准差为$\sqrt{\frac{22}{3}}=\frac{\sqrt{66}}{3}$,故A,C均不正确;(技巧:由于是多选题,故可排除A,C,即选BD)根据中位数的定义,将$x_{1},x_{2},\cdots,x_{6}$按从小到大的顺序进行排列,中位数是中间两个数的算术平均数,由于$x_{1}$是最小值,$x_{6}$是最大值,故$x_{2},x_{3},x_{4},x_{5}$的中位数是将$x_{2},x_{3},x_{4},x_{5}$按从小到大的顺序排列后中间两个数的算术平均数,与$x_{1},x_{2},\cdots,x_{6}$的中位数相等,故B正确;根据极差的定义,知$x_{2},x_{3},x_{4},x_{5}$的极差不大于$x_{1},x_{2},\cdots,x_{6}$的极差,故D正确. 综上,选BD.
考情速递 深刻理解基本概念、基本原理 本题考查统计抽样中样本的基本数字特征,考查考生对样本的平均数、标准差、中位数、极差概念的理解和掌握,考查考生分析问题和解决问题的能力. 试题给出一组抽象的样本数据$x_{1},x_{2},\cdots,x_{6}$,并给出$x_{1}$是最小值,$x_{6}$是最大值,4个选项分别考查学生对平均数、中位数、标准差和极差的深刻理解和灵活应用,不但注重试题的基础性,而且使基础知识的考查和能力的考查有机结合.
10. 噪声污染问题越来越受到重视. 用声压级来度量声音的强弱,定义声压级$L_p = 20\times\lg\frac{p}{p_0}$,其中常数$p_0(p_0 > 0)$是听觉下限阈值,$p$是实际声压. 下表为不同声源的声压级:

已知在距离燃油汽车、混合动力汽车、电动汽车10 m处测得实际声压分别为$p_1,p_2,p_3$,则
A. $p_1\geqslant p_2$
B. $p_2 > 10p_3$
C. $p_3 = 100p_0$
D. $p_1\leqslant 100p_2$
已知在距离燃油汽车、混合动力汽车、电动汽车10 m处测得实际声压分别为$p_1,p_2,p_3$,则
A. $p_1\geqslant p_2$
B. $p_2 > 10p_3$
C. $p_3 = 100p_0$
D. $p_1\leqslant 100p_2$
答案:
10.ACD 对数函数模型+指、对运算+比较大小(理性思维、数学应用、数学探索) 解法一 因为$60\leq20\times\lg\frac{p_{1}}{p_{0}}\leq90$且$p_{0}>0$,所以$1000p_{0}\leq p_{1}\leq10000\sqrt{10}p_{0}$. 同理,$100\sqrt{10}p_{0}\leq p_{2}\leq1000p_{0}$,$p_{3}=100p_{0}$. 故选ACD.
解法二 因为$L_{p}=20\times\lg\frac{p}{p_{0}}$随着$p$的增大而增大,(技巧:读懂题意,注意各个字母表示的实际意义)且$L_{p_{1}}\in[60,90]$,$L_{p_{2}}\in[50,60]$,所以$L_{p_{1}}\geq L_{p_{2}}$,所以$p_{1}\geq p_{2}$,故A正确;由$L_{p}=20\times\lg\frac{p}{p_{0}}$,得$p = p_{0}10^{\frac{L_{p}}{20}}$,因为$L_{p_{3}}=40$,所以$p_{3}=p_{0}10^{\frac{40}{20}}=100p_{0}$,故C正确;假设$p_{2}>10p_{3}$,则$p_{0}10^{\frac{L_{p_{2}}}{20}}>10p_{0}10^{\frac{L_{p_{3}}}{20}}$,所以$10^{\frac{L_{p_{2}}}{20}-\frac{L_{p_{3}}}{20}}>10$,所以$L_{p_{2}}-L_{p_{3}}>20$,不可能成立,故B不正确;因为$\frac{100p_{2}}{p_{1}}=\frac{100p_{0}10^{\frac{L_{p_{2}}}{20}}}{p_{0}10^{\frac{L_{p_{1}}}{20}}}=10^{\frac{L_{p_{2}}}{20}-\frac{L_{p_{1}}}{20}+2}\geq1$,所以$p_{1}\leq100p_{2}$,故D正确. 综上,选ACD.
考情速递 创设科学研究情境,助力应用能力考查 本题利用对数函数研究噪声声压水平,如果声压级增加20分贝,声音强度增加到原来的10倍. 试题通过对声压级的研究,全面考查对数及其运算的基础知识,考生需要正确运用对数运算法则,化简整理变形,才能选出正确的答案.
考教衔接 本题来源于人教A版必修第一册P141习题4.4第10题.
解法二 因为$L_{p}=20\times\lg\frac{p}{p_{0}}$随着$p$的增大而增大,(技巧:读懂题意,注意各个字母表示的实际意义)且$L_{p_{1}}\in[60,90]$,$L_{p_{2}}\in[50,60]$,所以$L_{p_{1}}\geq L_{p_{2}}$,所以$p_{1}\geq p_{2}$,故A正确;由$L_{p}=20\times\lg\frac{p}{p_{0}}$,得$p = p_{0}10^{\frac{L_{p}}{20}}$,因为$L_{p_{3}}=40$,所以$p_{3}=p_{0}10^{\frac{40}{20}}=100p_{0}$,故C正确;假设$p_{2}>10p_{3}$,则$p_{0}10^{\frac{L_{p_{2}}}{20}}>10p_{0}10^{\frac{L_{p_{3}}}{20}}$,所以$10^{\frac{L_{p_{2}}}{20}-\frac{L_{p_{3}}}{20}}>10$,所以$L_{p_{2}}-L_{p_{3}}>20$,不可能成立,故B不正确;因为$\frac{100p_{2}}{p_{1}}=\frac{100p_{0}10^{\frac{L_{p_{2}}}{20}}}{p_{0}10^{\frac{L_{p_{1}}}{20}}}=10^{\frac{L_{p_{2}}}{20}-\frac{L_{p_{1}}}{20}+2}\geq1$,所以$p_{1}\leq100p_{2}$,故D正确. 综上,选ACD.
考情速递 创设科学研究情境,助力应用能力考查 本题利用对数函数研究噪声声压水平,如果声压级增加20分贝,声音强度增加到原来的10倍. 试题通过对声压级的研究,全面考查对数及其运算的基础知识,考生需要正确运用对数运算法则,化简整理变形,才能选出正确的答案.
考教衔接 本题来源于人教A版必修第一册P141习题4.4第10题.
11. 已知函数$f(x)$的定义域为$\mathbf{R},f(xy)=y^2f(x)+x^2f(y)$,则
A. $f(0)=0$
B. $f(1)=0$
C. $f(x)$是偶函数
D. $x = 0$为$f(x)$的极小值点
A. $f(0)=0$
B. $f(1)=0$
C. $f(x)$是偶函数
D. $x = 0$为$f(x)$的极小值点
答案:
11.ABC 抽象函数的函数值+函数的奇偶性+极值点的判断(理性思维、数学应用、数学探索) 取$x = y = 0$,则$f(0)=0$,故A正确.取$x = y = 1$,则$f(1)=f(1)+f(1)$,所以$f(1)=0$,故B正确. 对$a\neq0$,代入$x = y = a$可得$f(a^{2})=a^{2}\times f(a)+a^{2}\times f(a)$,即$f(a)=\frac{f(a^{2})}{2a^{2}}$,代入$x = y = - a$可得$f(-a)=\frac{f(a^{2})}{2a^{2}}$,因此$f(-a)=f(a)$恒成立,$f(x)$是偶函数,故C正确. (另解:取$x = y = - 1$,则$f(1)=f(-1)+f(-1)$,所以$f(-1)=0$,取$y = - 1$,则$f(-x)=f(x)+x^{2}f(-1)$,所以$f(-x)=f(x)$,所以函数$f(x)$为偶函数,故C正确)由于$f(0)=0$且$f(-x)=f(x)$,我们对正实数$x$考虑函数$g(x)=\frac{f(x)}{x^{2}}$. (这样由$g(x)$可推出$f(x)$的所有取值)题设$f(xy)=y^{2}f(x)+x^{2}f(y)$可转化为$g(xy)=g(x)+g(y)$对任意正实数$x,y$成立,由这个式子比较容易想到的解为$g(x)=k\ln x$,对应的$f(x)=kx^{2}\ln|x|(x\neq0)$,且$f(0)=0$. 当参数$k>0$时,易知$x = 0$是$f(x)$的极大值点而非极小值点. 故D错误. 综上,选ABC. (方法技巧:处理抽象函数类型问题的一般思路是先代入一些特殊值,希望得到关于函数取值的信息,这要求代入的变量的特殊值能使得题目中的式子变得尽量简单,例如本题对变量$(x,y)$依次代入特殊值$(0,0),(1,1),(a,a),(-a,-a)$都满足$x = y$,这时题设式子可以合并同类项,呈现出较为简单的形式. 通过代入这些特殊值,得到的信息足以判断A,B,C三个选项均正确. 对于选项D,可以观察到当函数$f(x)$满足题意时,另一个函数$g(x)=-f(x)$也满足题意. 因此如果D正确,则$x = 0$是$f(x)$的极小值点,也是$g(x)=-f(x)$的极小值点,这样$x = 0$既是$f(x)$的极小值点,又是极大值点,导致矛盾,因此选项D不正确)
考情速递 抽象函数(强化思维过程,重能力分层次) 抽象函数在近几年的高考中频繁出现,本题以抽象函数为背景,让学生在解题过程中经历赋值法、数形结合,最终回归本质的思维过程,区分不同层次的学生,体现以能力为重的考查理念.
命题分析 试题是一道重思维、轻计算的题目,题目中关于函数$f(x)$的方程的形式具有“齐次性”,即把函数$f(x)$换成$k\times f(x)$时,方程是不变的,而D选项所陈述的性质与“齐次性”相悖. 数学素养较好的学生,在判断D选项时,会注意到方程式的齐次性这一性质,快速排除错误选项,从而节省时间.
考情速递 抽象函数(强化思维过程,重能力分层次) 抽象函数在近几年的高考中频繁出现,本题以抽象函数为背景,让学生在解题过程中经历赋值法、数形结合,最终回归本质的思维过程,区分不同层次的学生,体现以能力为重的考查理念.
命题分析 试题是一道重思维、轻计算的题目,题目中关于函数$f(x)$的方程的形式具有“齐次性”,即把函数$f(x)$换成$k\times f(x)$时,方程是不变的,而D选项所陈述的性质与“齐次性”相悖. 数学素养较好的学生,在判断D选项时,会注意到方程式的齐次性这一性质,快速排除错误选项,从而节省时间.
12. 下列物体中,能够被整体放入棱长为1(单位:m)的正方体容器(容器壁厚度忽略不计)内的有
A. 直径为0.99 m的球体
B. 所有棱长均为1.4 m的四面体
C. 底面直径为0.01 m,高为1.8 m的圆柱体
D. 底面直径为1.2 m,高为0.01 m的圆柱体
A. 直径为0.99 m的球体
B. 所有棱长均为1.4 m的四面体
C. 底面直径为0.01 m,高为1.8 m的圆柱体
D. 底面直径为1.2 m,高为0.01 m的圆柱体
答案:
12.ABD 几何与正方体的位置关系+空间几何的结构特征(理性思维、数学应用、数学探索) 解法一 由于棱长为1 m的正方体的内切球的直径为1 m,所以A正确;由于棱长为1 m的正方体中可放入棱长为$\sqrt{2}$m的正四面体,且$\sqrt{2}>1.4$,所以B正确;因为正方体的棱长为1 m,体对角线长为$\sqrt{3}$m,$\sqrt{3}<1.8$,所以高为1.8 m的圆柱不可能整体放入正方体容器中,所以C不正确;将底面直径为1.2 m的圆柱斜着放入正方体中(截面图如图所示),其中,平面$AA_{1}C_{1}C$为正方体的对角面,圆柱的轴在$AC_{1}$上,中心$O$为$AC_{1}$的中点,$M$为圆柱与$AC$的交点,记此时圆柱的高为$h$m,圆柱的上、下底面圆心分别为$O_{1},O_{2}$,可知$AC_{1}\perp O_{1}M$,$O_{1}M = 0.6$,则$\tan\angle CAC_{1}=\frac{CC_{1}}{AC}=\frac{O_{1}M}{AO_{1}}$,即$\frac{1}{\sqrt{2}}=\frac{0.6}{AO_{1}}$,解得$AO_{1}=0.6\sqrt{2}$,根据对称性可知圆柱的高$h=\sqrt{3}-2\times0.6\sqrt{2}\approx1.732 - 1.2\times1.414 = 0.035>0.01$,所以底面直径为1.2 m,高为0.01 m的圆柱体能够被整体放入正方体容器内,所以D正确. 综上,选ABD.
解法二 以正方体的中心$O$为原点,坐标轴分别平行于正方体的相邻的三条棱,建立空间直角坐标系$O - xyz$.
(1)正方体的八个顶点的坐标为$(\pm\frac{1}{2},\pm\frac{1}{2},\pm\frac{1}{2})$,原点$O$到六个面的距离均为$\frac{1}{2}$,大于球体半径0.495,因此以$O$为球心,直径为0.99的球体能够被整体放入棱长为1的正方体容器内,故A正确.
(2)考虑四个点$P_{1}(a,a,a)$,$P_{2}(a,-a,-a)$,$P_{3}(-a,a,-a)$,$P_{4}(-a,-a,a)$,其中任意两点距离均为$\sqrt{(2a)^{2}+(2a)^{2}+0^{2}}=2\sqrt{2}a$,取$a=\frac{1.4}{2\sqrt{2}}=0.35\times\sqrt{2}<0.5$,则此时这四个点均在正方体内部,并且四面体$P_{1}P_{2}P_{3}P_{4}$的所有棱长均为1.4,故B正确.
(3)对于选项C中的细棒形状的圆柱体,其上底面的点与下底面的点的距离不小于圆柱体的高1.8,由于正方体中任意两点的距离$\sqrt{(x_{1}-x_{2})^{2}+(y_{1}-y_{2})^{2}+(z_{1}-z_{2})^{2}}\leq\sqrt{3}<1.8$,所以该细棒形状的圆柱体无法放入正方体容器内,故C错误.
(4)考虑过原点与正方体体对角线$l:x = y = z$垂直的平面$\alpha:x + y + z = 0$,(拓展:空间直角坐标系$O - xyz$中,过点$P(x_{0},y_{0},z_{0})$且一个法向量为$\boldsymbol{n}=(a,b,c)$的平面$\alpha$的方程为$a(x - x_{0})+b(y - y_{0})+c(z - z_{0})=0)$该平面截正方体得到的截面为边长为$\frac{\sqrt{2}}{2}$的正六边形,其内切圆半径为$\frac{\sqrt{2}}{2}\times\frac{\sqrt{3}}{2}=\frac{\sqrt{6}}{4}$,直径为$\frac{\sqrt{6}}{4}\times2=\sqrt{1.5}>1.22$,因此可以放入一个直径为1.2的圆盘. 对于厚度为0.01的薄片,考虑把平面$\alpha$做适当平移时与正方体的截面,即考虑过点$R(r,r,r)(|r|<\frac{1}{6})$的平面$x + y + z = 3r$,它与正方体的棱依次交于点$(\frac{1}{2},-\frac{1}{2},3r)$,$(\frac{1}{2},3r,-\frac{1}{2})$,$(3r,\frac{1}{2},-\frac{1}{2})$,$(-\frac{1}{2},\frac{1}{2},3r)$,$(-\frac{1}{2},3r,\frac{1}{2})$,$(3r,-\frac{1}{2},\frac{1}{2})$,点$R$到各边的距离(即$R$到各边中点的距离)为$\frac{\sqrt{1.5}}{2}(1 + 2r)$或$\frac{\sqrt{1.5}}{2}(1 - 2r)$. 我们希望这些距离均大于等于0.6,取$r_{0}=\frac{1}{2}\times(1-\frac{1.2}{\sqrt{1.5}})=\frac{\sqrt{1.5}-1.2}{\sqrt{6}}$,只需$r\in[-r_{0},r_{0}]$,则平面$x + y + z = 3r$与正方体的截面内有以$R(r,r,r)$为中心,半径不小于0.6的圆. 取点$R_{1}(r_{0},r_{0},r_{0})$与$R_{2}(-r_{0},-r_{0},-r_{0})$,这样以$R_{1}R_{2}$为轴,底面半径为0.6的圆柱体落在正方体内部. 由于圆柱体的高$|R_{1}R_{2}|=2\sqrt{3}\times r_{0}=\sqrt{2}\times(\sqrt{1.5}-1.2)\approx0.035>0.01$,可知正方体容器内可以放入一个D选项中的圆柱体,故D正确. 综上,选ABD.
解法三 选项A,B,C的判断同解法一. 关于选项D中所描述的圆柱体,考虑过正方体中心且与体对角线垂直的平面$\alpha$截正方体得到的截面,该截面是边长为$\frac{\sqrt{2}}{2}$的正六边形,有一个直径为$\sqrt{1.5}\approx1.22$的内切圆盘,易知圆盘所在平面$\alpha$与正方体的六个面的夹角均相等,设为$\theta$,则易得$\cos\theta=\frac{\sqrt{3}}{3}$. (提示:借助正六边形与正方体上、下底面容易求得)圆盘与正方体的六个面均相切(即恰有一个公共点),在每个切点处,分别有平面(正方体的六个面)过该点处的圆盘的切线,且与圆盘所在平面$\alpha$成$\theta$角. 这些平面“卡着”圆盘,使得正方体内不存在以该圆盘为底面的圆柱. 为此我们考虑把圆盘的半径缩小$r_{0}$,则可以在平面$\alpha$的两边各长出高为$r_{0}\times\tan\theta=\sqrt{2}\times r_{0}$的圆柱,最终有底面半径为0.6,高为$2\times\sqrt{2}\times r_{0}=2\sqrt{2}\times(\frac{\sqrt{1.5}}{2}-0.6)=\sqrt{3}-1.2\sqrt{2}\approx0.035$的圆柱落在正方体内. 因此选项D所述的圆柱体可以整体放入正方体容器内.
考教衔接 本题来源于人教A版必修第二册P119练习第3题.
解后反思 破解此类题只需两招:第一招是明特征知度量,即明晰空间几何体的特征,同时关注题眼“几何体的度量”;第二招是空间想象能力,如本题,需作出正方体的草图,感知选项中的空间几何体的特征,判断正方体中如何能放得下选项中所给的具体度量的空间几何体.
解法二 以正方体的中心$O$为原点,坐标轴分别平行于正方体的相邻的三条棱,建立空间直角坐标系$O - xyz$.
(1)正方体的八个顶点的坐标为$(\pm\frac{1}{2},\pm\frac{1}{2},\pm\frac{1}{2})$,原点$O$到六个面的距离均为$\frac{1}{2}$,大于球体半径0.495,因此以$O$为球心,直径为0.99的球体能够被整体放入棱长为1的正方体容器内,故A正确.
(2)考虑四个点$P_{1}(a,a,a)$,$P_{2}(a,-a,-a)$,$P_{3}(-a,a,-a)$,$P_{4}(-a,-a,a)$,其中任意两点距离均为$\sqrt{(2a)^{2}+(2a)^{2}+0^{2}}=2\sqrt{2}a$,取$a=\frac{1.4}{2\sqrt{2}}=0.35\times\sqrt{2}<0.5$,则此时这四个点均在正方体内部,并且四面体$P_{1}P_{2}P_{3}P_{4}$的所有棱长均为1.4,故B正确.
(3)对于选项C中的细棒形状的圆柱体,其上底面的点与下底面的点的距离不小于圆柱体的高1.8,由于正方体中任意两点的距离$\sqrt{(x_{1}-x_{2})^{2}+(y_{1}-y_{2})^{2}+(z_{1}-z_{2})^{2}}\leq\sqrt{3}<1.8$,所以该细棒形状的圆柱体无法放入正方体容器内,故C错误.
(4)考虑过原点与正方体体对角线$l:x = y = z$垂直的平面$\alpha:x + y + z = 0$,(拓展:空间直角坐标系$O - xyz$中,过点$P(x_{0},y_{0},z_{0})$且一个法向量为$\boldsymbol{n}=(a,b,c)$的平面$\alpha$的方程为$a(x - x_{0})+b(y - y_{0})+c(z - z_{0})=0)$该平面截正方体得到的截面为边长为$\frac{\sqrt{2}}{2}$的正六边形,其内切圆半径为$\frac{\sqrt{2}}{2}\times\frac{\sqrt{3}}{2}=\frac{\sqrt{6}}{4}$,直径为$\frac{\sqrt{6}}{4}\times2=\sqrt{1.5}>1.22$,因此可以放入一个直径为1.2的圆盘. 对于厚度为0.01的薄片,考虑把平面$\alpha$做适当平移时与正方体的截面,即考虑过点$R(r,r,r)(|r|<\frac{1}{6})$的平面$x + y + z = 3r$,它与正方体的棱依次交于点$(\frac{1}{2},-\frac{1}{2},3r)$,$(\frac{1}{2},3r,-\frac{1}{2})$,$(3r,\frac{1}{2},-\frac{1}{2})$,$(-\frac{1}{2},\frac{1}{2},3r)$,$(-\frac{1}{2},3r,\frac{1}{2})$,$(3r,-\frac{1}{2},\frac{1}{2})$,点$R$到各边的距离(即$R$到各边中点的距离)为$\frac{\sqrt{1.5}}{2}(1 + 2r)$或$\frac{\sqrt{1.5}}{2}(1 - 2r)$. 我们希望这些距离均大于等于0.6,取$r_{0}=\frac{1}{2}\times(1-\frac{1.2}{\sqrt{1.5}})=\frac{\sqrt{1.5}-1.2}{\sqrt{6}}$,只需$r\in[-r_{0},r_{0}]$,则平面$x + y + z = 3r$与正方体的截面内有以$R(r,r,r)$为中心,半径不小于0.6的圆. 取点$R_{1}(r_{0},r_{0},r_{0})$与$R_{2}(-r_{0},-r_{0},-r_{0})$,这样以$R_{1}R_{2}$为轴,底面半径为0.6的圆柱体落在正方体内部. 由于圆柱体的高$|R_{1}R_{2}|=2\sqrt{3}\times r_{0}=\sqrt{2}\times(\sqrt{1.5}-1.2)\approx0.035>0.01$,可知正方体容器内可以放入一个D选项中的圆柱体,故D正确. 综上,选ABD.
解法三 选项A,B,C的判断同解法一. 关于选项D中所描述的圆柱体,考虑过正方体中心且与体对角线垂直的平面$\alpha$截正方体得到的截面,该截面是边长为$\frac{\sqrt{2}}{2}$的正六边形,有一个直径为$\sqrt{1.5}\approx1.22$的内切圆盘,易知圆盘所在平面$\alpha$与正方体的六个面的夹角均相等,设为$\theta$,则易得$\cos\theta=\frac{\sqrt{3}}{3}$. (提示:借助正六边形与正方体上、下底面容易求得)圆盘与正方体的六个面均相切(即恰有一个公共点),在每个切点处,分别有平面(正方体的六个面)过该点处的圆盘的切线,且与圆盘所在平面$\alpha$成$\theta$角. 这些平面“卡着”圆盘,使得正方体内不存在以该圆盘为底面的圆柱. 为此我们考虑把圆盘的半径缩小$r_{0}$,则可以在平面$\alpha$的两边各长出高为$r_{0}\times\tan\theta=\sqrt{2}\times r_{0}$的圆柱,最终有底面半径为0.6,高为$2\times\sqrt{2}\times r_{0}=2\sqrt{2}\times(\frac{\sqrt{1.5}}{2}-0.6)=\sqrt{3}-1.2\sqrt{2}\approx0.035$的圆柱落在正方体内. 因此选项D所述的圆柱体可以整体放入正方体容器内.
考教衔接 本题来源于人教A版必修第二册P119练习第3题.
解后反思 破解此类题只需两招:第一招是明特征知度量,即明晰空间几何体的特征,同时关注题眼“几何体的度量”;第二招是空间想象能力,如本题,需作出正方体的草图,感知选项中的空间几何体的特征,判断正方体中如何能放得下选项中所给的具体度量的空间几何体.
查看更多完整答案,请扫码查看