第9页
- 第1页
- 第2页
- 第3页
- 第4页
- 第5页
- 第6页
- 第7页
- 第8页
- 第9页
- 第10页
- 第11页
- 第12页
- 第13页
- 第14页
- 第15页
- 第16页
- 第17页
- 第18页
- 第19页
- 第20页
- 第21页
- 第22页
- 第23页
- 第24页
- 第25页
- 第26页
- 第27页
- 第28页
- 第29页
- 第30页
- 第31页
- 第32页
- 第33页
- 第34页
- 第35页
- 第36页
- 第37页
- 第38页
- 第39页
- 第40页
- 第41页
- 第42页
- 第43页
- 第44页
- 第45页
- 第46页
- 第47页
- 第48页
- 第49页
- 第50页
- 第51页
- 第52页
- 第53页
- 第54页
- 第55页
- 第56页
- 第57页
- 第58页
- 第59页
- 第60页
- 第61页
- 第62页
- 第63页
- 第64页
- 第65页
- 第66页
- 第67页
- 第68页
- 第69页
- 第70页
- 第71页
- 第72页
- 第73页
- 第74页
- 第75页
- 第76页
- 第77页
- 第78页
- 第79页
12. 观察下列两个多项式相乘的运算过程:
根据你发现的规律,若$(x + a)(x + b)=x^{2}-7x + 12$,则$a$,$b$的值可能分别是( )

A. - 3,- 4
B. - 3,4
C. 3,- 4
D. 3,4
根据你发现的规律,若$(x + a)(x + b)=x^{2}-7x + 12$,则$a$,$b$的值可能分别是( )
A. - 3,- 4
B. - 3,4
C. 3,- 4
D. 3,4
答案:
A
13. 已知$-2x(5 - 3x + mx^{2}-nx^{3})$的结果中不含$x^{3}$项,则$m$的值为( )
A. 1
B. - 1
C. $-\frac{1}{2}$
D. 0
A. 1
B. - 1
C. $-\frac{1}{2}$
D. 0
答案:
D 【解析】因为$-2x(5 - 3x+mx^{2}-nx^{3})=-10x+6x^{2}-2mx^{3}+2nx^{4}$的结果中不含$x^{3}$项,所以$-2m = 0$,即$m = 0$。
14. 已知$M$,$N$分别表示不同的单项式,且$3x(M - 5x)=6x^{2}y^{3}+N$,则下列正确的是( )
A. $M = 2xy^{3}$,$N = - 15x$
B. $M = 3xy^{3}$,$N = - 15x^{2}$
C. $M = 2xy^{3}$,$N = - 15x^{2}$
D. $M = 2xy^{3}$,$N = 15x^{2}$
A. $M = 2xy^{3}$,$N = - 15x$
B. $M = 3xy^{3}$,$N = - 15x^{2}$
C. $M = 2xy^{3}$,$N = - 15x^{2}$
D. $M = 2xy^{3}$,$N = 15x^{2}$
答案:
C
15. 计算:
(1)$-2xy(x^{2}-3y^{2})-4xy(2x^{2}+y^{2})$;
(2)$(2a - 7)(a + 6)-(a - 2)(2a + 1)$;
(3)$(3x + y - z)(x - y + 3z)$。
(1)$-2xy(x^{2}-3y^{2})-4xy(2x^{2}+y^{2})$;
(2)$(2a - 7)(a + 6)-(a - 2)(2a + 1)$;
(3)$(3x + y - z)(x - y + 3z)$。
答案:
(1)$-10x^{3}y+2xy^{3}$
(2)$8a - 40$
(3)$3x^{2}-y^{2}-3z^{2}-2xy + 8xz+4yz$
(1)$-10x^{3}y+2xy^{3}$
(2)$8a - 40$
(3)$3x^{2}-y^{2}-3z^{2}-2xy + 8xz+4yz$
16. 先化简,再求值:$5a(3a^{2}b - ab^{2})-4a(-ab^{2}+3a^{2}b)-(3ab)^{2}$,其中$a = - 2$,$b = 3$。
答案:
解:原式$=15a^{3}b-5a^{2}b^{2}+4a^{2}b^{2}-12a^{3}b-9a^{2}b^{2}=3a^{3}b-10a^{2}b^{2}$。当$a=-2$,$b = 3$时,原式$=3×(-2)^{3}×3-10×(-2)^{2}×3^{2}=-432$。
17. 如图,某校有一块长为$(3a + b)$米、宽为$(2a + b)$米的长方形空地,中间是边长为$(a + b)$米的正方形草坪,其余为活动场地,学校计划将活动场地(阴影部分)进行硬化。
(1)用含$a$,$b$的代数式表示需要硬化的面积,并化简。
(2)当$a = 5$,$b = 2$时,求需要硬化的面积。

(1)用含$a$,$b$的代数式表示需要硬化的面积,并化简。
(2)当$a = 5$,$b = 2$时,求需要硬化的面积。
答案:
解:
(1)需要硬化的面积为$(3a + b)(2a + b)-(a + b)^{2}=6a^{2}+3ab+2ab + b^{2}-(a^{2}+ab+ab + b^{2})=(5a^{2}+3ab)$(平方米)。
(2)当$a = 5$,$b = 2$时,原式$=5×5^{2}+3×5×2=155$(平方米)。故需要硬化的面积为 155 平方米。
(1)需要硬化的面积为$(3a + b)(2a + b)-(a + b)^{2}=6a^{2}+3ab+2ab + b^{2}-(a^{2}+ab+ab + b^{2})=(5a^{2}+3ab)$(平方米)。
(2)当$a = 5$,$b = 2$时,原式$=5×5^{2}+3×5×2=155$(平方米)。故需要硬化的面积为 155 平方米。
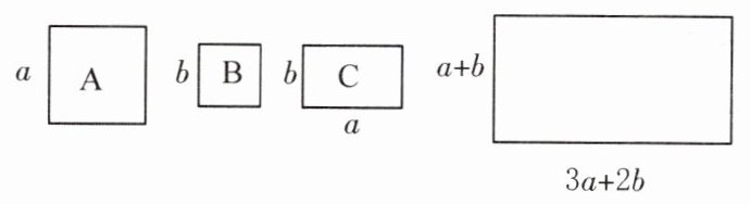
18. 有足够多张如图所示的A类、B类正方形卡片和C类长方形卡片,若要拼一个长为$(3a + 2b)$、宽为$(a + b)$的大长方形,则需要C类卡片的张数为( )

A. 3
B. 4
C. 5
D. 6
A. 3
B. 4
C. 5
D. 6
答案:
C
查看更多完整答案,请扫码查看