第34页
- 第1页
- 第2页
- 第3页
- 第4页
- 第5页
- 第6页
- 第7页
- 第8页
- 第9页
- 第10页
- 第11页
- 第12页
- 第13页
- 第14页
- 第15页
- 第16页
- 第17页
- 第18页
- 第19页
- 第20页
- 第21页
- 第22页
- 第23页
- 第24页
- 第25页
- 第26页
- 第27页
- 第28页
- 第29页
- 第30页
- 第31页
- 第32页
- 第33页
- 第34页
- 第35页
- 第36页
- 第37页
- 第38页
- 第39页
- 第40页
- 第41页
- 第42页
- 第43页
- 第44页
- 第45页
- 第46页
- 第47页
- 第48页
- 第49页
- 第50页
- 第51页
- 第52页
- 第53页
- 第54页
- 第55页
- 第56页
- 第57页
- 第58页
- 第59页
- 第60页
- 第61页
- 第62页
- 第63页
- 第64页
- 第65页
- 第66页
- 第67页
- 第68页
- 第69页
- 第70页
- 第71页
- 第72页
- 第73页
- 第74页
- 第75页
- 第76页
- 第77页
- 第78页
- 第79页
1. 如图1,木杆AB与CD平行,木杆的两端A,C用一条橡皮筋连接,点E是橡皮筋上的一点。
(1)观察发现:在图1中,则∠A,∠C与∠AEC之间的数量关系是______________。
(2)拓展探究:若将橡皮筋拉成如图2的形状,则∠A,∠C与∠AEC之间的数量关系是____________________。
(3)类比探究:若将橡皮筋拉成如图3的形状,类比(2)中的方法探究∠AEC,∠EAB与∠ECD之间有何关系?并说明理由。

(1)观察发现:在图1中,则∠A,∠C与∠AEC之间的数量关系是______________。
(2)拓展探究:若将橡皮筋拉成如图2的形状,则∠A,∠C与∠AEC之间的数量关系是____________________。
(3)类比探究:若将橡皮筋拉成如图3的形状,类比(2)中的方法探究∠AEC,∠EAB与∠ECD之间有何关系?并说明理由。
答案:
解:
(1)∠A + ∠C = ∠AEC
(2)∠AEC = ∠A + ∠C
(3)∠EAB = ∠AEC + ∠ECD,理由如下:
如图,延长BA交CE于G,
因为AB // CD,
所以∠EGB = ∠C,
因为∠EAB = 180°−∠EAG,∠AEC + ∠EGB = 180°−∠EAG,所以∠EAB = ∠AEC + ∠EGB,
所以∠EAB = ∠AEC + ∠ECD。

解:
(1)∠A + ∠C = ∠AEC
(2)∠AEC = ∠A + ∠C
(3)∠EAB = ∠AEC + ∠ECD,理由如下:
如图,延长BA交CE于G,
因为AB // CD,
所以∠EGB = ∠C,
因为∠EAB = 180°−∠EAG,∠AEC + ∠EGB = 180°−∠EAG,所以∠EAB = ∠AEC + ∠EGB,
所以∠EAB = ∠AEC + ∠ECD。
2. 如图,AB//CD,∠C = 30°,∠E = 20°,则∠A的度数是( )

A. 10°
B. 50°
C. 40°
D. 45°
A. 10°
B. 50°
C. 40°
D. 45°
答案:
B
3. 如图所示,AB//CD,若∠3 = $\frac{3}{2}$∠1,∠4 = $\frac{3}{2}$∠2,下列各式:①∠1 + ∠2 = ∠E;②∠1 + ∠2 + ∠3 + ∠4 = ∠F;③∠3 + ∠4 + ∠F = 360°;④5∠E + 2∠F = 720°,其中正确的是( )

A. ①②
B. ①③
C. ②③
D. ①④
A. ①②
B. ①③
C. ②③
D. ①④
答案:
D
4. 如图,已知AB//CD,易得∠1 + ∠2 + ∠3 = 360°,∠1 + ∠2 + ∠3 + ∠4 = ________,……根据以上的规律得∠1 + ∠2 + ∠3 + … + ∠n = ______________。

答案:
540° (n - 1)·180°
5. 如图,若直线l₁//l₂,∠α = ∠β,∠1 = 40°,则∠2的度数为______。

答案:
140°
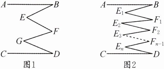
6. (1)如图1,AB//CD,则∠E + ∠G与∠B + ∠F + ∠D有什么样的数量关系?
(2)如图2,若AB//CD,则能得到什么结论?请直接写出结论。

(2)如图2,若AB//CD,则能得到什么结论?请直接写出结论。
答案:
解:
(1)如图,过点E作EM // AB,过点F作FN // AB,过点G作GH // CD,

因为AB // CD,
所以AB // EM // FN // GH,
所以∠1 = ∠B,∠2 = ∠3,∠4 = ∠5,∠6 = ∠D,
所以∠1 + ∠2 + ∠5 + ∠6 = ∠B + ∠3 + ∠4 + ∠D,
即∠BEF + ∠FGD = ∠B + ∠EFG + ∠D。
(2)∠B + ∠F₁ + ∠F₂ + ∠Fₙ₋₁ +... + ∠D = ∠E₁ + ∠E₂ +... + ∠Eₙ。
解:
(1)如图,过点E作EM // AB,过点F作FN // AB,过点G作GH // CD,
因为AB // CD,
所以AB // EM // FN // GH,
所以∠1 = ∠B,∠2 = ∠3,∠4 = ∠5,∠6 = ∠D,
所以∠1 + ∠2 + ∠5 + ∠6 = ∠B + ∠3 + ∠4 + ∠D,
即∠BEF + ∠FGD = ∠B + ∠EFG + ∠D。
(2)∠B + ∠F₁ + ∠F₂ + ∠Fₙ₋₁ +... + ∠D = ∠E₁ + ∠E₂ +... + ∠Eₙ。
查看更多完整答案,请扫码查看