第24页
- 第1页
- 第2页
- 第3页
- 第4页
- 第5页
- 第6页
- 第7页
- 第8页
- 第9页
- 第10页
- 第11页
- 第12页
- 第13页
- 第14页
- 第15页
- 第16页
- 第17页
- 第18页
- 第19页
- 第20页
- 第21页
- 第22页
- 第23页
- 第24页
- 第25页
- 第26页
- 第27页
- 第28页
- 第29页
- 第30页
- 第31页
- 第32页
- 第33页
- 第34页
- 第35页
- 第36页
- 第37页
- 第38页
- 第39页
- 第40页
- 第41页
- 第42页
- 第43页
- 第44页
- 第45页
- 第46页
- 第47页
- 第48页
- 第49页
- 第50页
- 第51页
- 第52页
- 第53页
- 第54页
- 第55页
- 第56页
- 第57页
- 第58页
- 第59页
- 第60页
- 第61页
- 第62页
- 第63页
- 第64页
- 第65页
- 第66页
- 第67页
- 第68页
- 第69页
- 第70页
- 第71页
- 第72页
- 第73页
- 第74页
- 第75页
- 第76页
- 第77页
- 第78页
- 第79页
1. 如图,已知两棵同根树所成的夹角为15°,右侧树干与地面垂直,则左侧树干与水平地面所成的夹角∠AOB为( )

A. 85°
B. 15°
C. 75°
D. 65°
A. 85°
B. 15°
C. 75°
D. 65°
答案:
C
2. 如图,AB,CD交于点O,∠1 = 50°,∠2 = 40°,则直线AB与OE的关系是( )

A. 平行
B. 垂直
C. 重合
D. 以上均有可能
A. 平行
B. 垂直
C. 重合
D. 以上均有可能
答案:
B
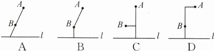
3. 下列各图中,过直线l外一点P画l的垂线CD,三角尺操作正确的是( )

答案:
D
4. 如图,P是∠AOB的边OB上的一点。
(1)过点P画OA的垂线,垂足为H;
(2)过点P画OB的垂线,交OA于点C。

(1)过点P画OA的垂线,垂足为H;
(2)过点P画OB的垂线,交OA于点C。
答案:
解:
(1)如图,PH为所作。
(2)如图,PC为所作。
解:
(1)如图,PH为所作。
(2)如图,PC为所作。
5. 如图,在一张透明的纸上画一条直线l,在l外任取一点Q并折出过点Q且与l垂直的直线。这样的直线能折出( )

A. 0条
B. 1条
C. 2条
D. 3条
A. 0条
B. 1条
C. 2条
D. 3条
答案:
B
6. 如图,A是线段BC外一点,连接AB,AC,过点A作线段BC的垂线AH。在AB,AC,AH这三条线段中,AH是最短的线段,依据是______________。

答案:
垂线段最短
7. 如图,CD⊥AD,BE⊥AC,AF⊥CF,CD = 2cm,BE = 1.5cm,AF = 4cm,则点A到直线BC的距离是________cm,点B到直线AC的距离是________cm,点C到直线AB的距离是________cm。

答案:
4 1.5 2
8. 如图,小华站在长方形操场的左侧A处。
(1)若要到操场的右侧,怎样走最近?在图1中画出所走路线,并说明理由。
(2)若要到操场对面的B处,怎样走最近?在图2中画出所走路线,并说明理由。

(1)若要到操场的右侧,怎样走最近?在图1中画出所走路线,并说明理由。
(2)若要到操场对面的B处,怎样走最近?在图2中画出所走路线,并说明理由。
答案:
解:
(1)如图1,理由:垂线段最短。
(2)如图2,理由:两点之间线段最短。
解:
(1)如图1,理由:垂线段最短。
(2)如图2,理由:两点之间线段最短。
9. 如图,河道l的一侧有A,B两个村庄,现要铺设一条引水管道把河水引向A,B两村,下列四种方案中最节省材料的是( )

答案:
B
查看更多完整答案,请扫码查看