2025年通城学典活页检测七年级数学下册北师大版
注:目前有些书本章节名称可能整理的还不是很完善,但都是按照顺序排列的,请同学们按照顺序仔细查找。练习册 2025年通城学典活页检测七年级数学下册北师大版 答案主要是用来给同学们做完题方便对答案用的,请勿直接抄袭。
第31页
- 第1页
- 第2页
- 第3页
- 第4页
- 第5页
- 第6页
- 第7页
- 第8页
- 第9页
- 第10页
- 第11页
- 第12页
- 第13页
- 第14页
- 第15页
- 第16页
- 第17页
- 第18页
- 第19页
- 第20页
- 第21页
- 第22页
- 第23页
- 第24页
- 第25页
- 第26页
- 第27页
- 第28页
- 第29页
- 第30页
- 第31页
- 第32页
- 第33页
- 第34页
- 第35页
- 第36页
- 第37页
- 第38页
- 第39页
- 第40页
- 第41页
- 第42页
- 第43页
- 第44页
- 第45页
- 第46页
- 第47页
- 第48页
- 第49页
- 第50页
- 第51页
- 第52页
- 第53页
- 第54页
- 第55页
- 第56页
- 第57页
- 第58页
- 第59页
- 第60页
- 第61页
- 第62页
- 第63页
- 第64页
- 第65页
- 第66页
- 第67页
- 第68页
- 第69页
- 第70页
- 第71页
- 第72页
- 第73页
- 第74页
- 第75页
- 第76页
- 第77页
- 第78页
- 第79页
- 第80页
- 第81页
- 第82页
- 第83页
- 第84页
- 第85页
- 第86页
- 第87页
- 第88页
- 第89页
- 第90页
- 第91页
- 第92页
- 第93页
- 第94页
- 第95页
1. 计算:
(1)$3x^{2}y^{2}-4x^{3}y^{2}\div(-2x)+(-3xy)^{2}$;
(2)$4a(a - 3b)-(3b - 2a)(2a + 3b)$;
(3)$(6x^{4}-8x^{3})\div(-2x^{2})-(3x + 2)(1 - x)$;
(4)$(-2a + 3b)(3b + 2a)-(3a + b)^{2}-2b(a + 4b)$.
(1)$3x^{2}y^{2}-4x^{3}y^{2}\div(-2x)+(-3xy)^{2}$;
(2)$4a(a - 3b)-(3b - 2a)(2a + 3b)$;
(3)$(6x^{4}-8x^{3})\div(-2x^{2})-(3x + 2)(1 - x)$;
(4)$(-2a + 3b)(3b + 2a)-(3a + b)^{2}-2b(a + 4b)$.
答案:
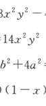
(1) $3x^{2}y^{2}-4x^{3}y^{2}\div(-2x)+(-3xy)^{2}=3x^{2}y^{2}+2x^{2}y^{2}+9x^{2}y^{2}=14x^{2}y^{2}$
(2) $4a(a - 3b)-(3b - 2a)(2a + 3b)=4a^{2}-12ab-(9b^{2}-4a^{2})=4a^{2}-12ab - 9b^{2}+4a^{2}=8a^{2}-12ab-9b^{2}$
(3) $(6x^{4}-8x^{3})\div(-2x^{2})-(3x + 2)(1 - x)=-3x^{2}+4x-3x + 3x^{2}-2 + 2x=3x - 2$
(4) $(-2a + 3b)(3b + 2a)-(3a + b)^{2}-2b(a + 4b)=9b^{2}-4a^{2}-(9a^{2}+6ab + b^{2})-2ab - 8b^{2}=9b^{2}-4a^{2}-9a^{2}-6ab - b^{2}-2ab - 8b^{2}=-13a^{2}-8ab$
(1) $3x^{2}y^{2}-4x^{3}y^{2}\div(-2x)+(-3xy)^{2}=3x^{2}y^{2}+2x^{2}y^{2}+9x^{2}y^{2}=14x^{2}y^{2}$
(2) $4a(a - 3b)-(3b - 2a)(2a + 3b)=4a^{2}-12ab-(9b^{2}-4a^{2})=4a^{2}-12ab - 9b^{2}+4a^{2}=8a^{2}-12ab-9b^{2}$
(3) $(6x^{4}-8x^{3})\div(-2x^{2})-(3x + 2)(1 - x)=-3x^{2}+4x-3x + 3x^{2}-2 + 2x=3x - 2$
(4) $(-2a + 3b)(3b + 2a)-(3a + b)^{2}-2b(a + 4b)=9b^{2}-4a^{2}-(9a^{2}+6ab + b^{2})-2ab - 8b^{2}=9b^{2}-4a^{2}-9a^{2}-6ab - b^{2}-2ab - 8b^{2}=-13a^{2}-8ab$
2. 先化简,再求值:$(3x - 2y)^{2}+(x - y)(x + 2y)-x(x - 4y)$,其中$x = 1$,$y = -1$.
答案:
$(3x - 2y)^{2}+(x - y)(x + 2y)-x(x - 4y)=9x^{2}-12xy + 4y^{2}+x^{2}+2xy - xy - 2y^{2}-x^{2}+4xy=9x^{2}-7xy + 2y^{2}$.当$x = 1$,$y = -1$时,原式$=9\times1^{2}-7\times1\times(-1)+2\times(-1)^{2}=18$
查看更多完整答案,请扫码查看