2025年同步实践评价课程基础训练高中数学必修第二册
注:目前有些书本章节名称可能整理的还不是很完善,但都是按照顺序排列的,请同学们按照顺序仔细查找。练习册 2025年同步实践评价课程基础训练高中数学必修第二册 答案主要是用来给同学们做完题方便对答案用的,请勿直接抄袭。
第44页
- 第1页
- 第2页
- 第3页
- 第4页
- 第5页
- 第6页
- 第7页
- 第8页
- 第9页
- 第10页
- 第11页
- 第12页
- 第13页
- 第14页
- 第15页
- 第16页
- 第17页
- 第18页
- 第19页
- 第20页
- 第21页
- 第22页
- 第23页
- 第24页
- 第25页
- 第26页
- 第27页
- 第28页
- 第29页
- 第30页
- 第31页
- 第32页
- 第33页
- 第34页
- 第35页
- 第36页
- 第37页
- 第38页
- 第39页
- 第40页
- 第41页
- 第42页
- 第43页
- 第44页
- 第45页
- 第46页
- 第47页
- 第48页
- 第49页
- 第50页
- 第51页
- 第52页
- 第53页
- 第54页
- 第55页
- 第56页
- 第57页
- 第58页
- 第59页
- 第60页
- 第61页
- 第62页
- 第63页
- 第64页
- 第65页
- 第66页
- 第67页
- 第68页
- 第69页
- 第70页
- 第71页
- 第72页
- 第73页
- 第74页
- 第75页
- 第76页
- 第77页
- 第78页
- 第79页
- 第80页
- 第81页
- 第82页
- 第83页
- 第84页
- 第85页
- 第86页
- 第87页
- 第88页
- 第89页
- 第90页
- 第91页
- 第92页
- 第93页
- 第94页
- 第95页
- 第96页
- 第97页
- 第98页
- 第99页
- 第100页
- 第101页
- 第102页
- 第103页
- 第104页
- 第105页
- 第106页
- 第107页
- 第108页
- 第109页
- 第110页
- 第111页
- 第112页
- 第113页
- 第114页
- 第115页
- 第116页
- 第117页
- 第118页
- 第119页
- 第120页
- 第121页
- 第122页
- 第123页
- 第124页
- 第125页
- 第126页
- 第127页
- 第128页
- 第129页
- 第130页
- 第131页
- 第132页
- 第133页
- 第134页
- 第135页
- 第136页
例5 如图,在$\triangle ABC$中,$D$是$BC$的中点,$E$,$F$是$AD$上的两个三等分点,$\overrightarrow{BA}\cdot\overrightarrow{CA}=4$,$\overrightarrow{BF}\cdot\overrightarrow{CF}=-1$,则$\overrightarrow{BE}\cdot\overrightarrow{CE}$的值是________.

答案:

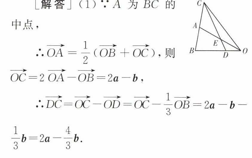
例6 已知在$\triangle OAB$中,延长$BA$到$C$,使$AB = AC$,点$D$在边$OB$上且$BD = 2OD$,$DC$和$OA$交于$E$.设$\overrightarrow{OA}=\boldsymbol{a}$,$\overrightarrow{OB}=\boldsymbol{b}$,如图所示.
(1)用$\boldsymbol{a}$,$\boldsymbol{b}$表示向量$\overrightarrow{OC}$,$\overrightarrow{DC}$;
(2)若$\overrightarrow{OE}=\lambda\overrightarrow{OA}$,求实数$\lambda$的值.

(1)用$\boldsymbol{a}$,$\boldsymbol{b}$表示向量$\overrightarrow{OC}$,$\overrightarrow{DC}$;
(2)若$\overrightarrow{OE}=\lambda\overrightarrow{OA}$,求实数$\lambda$的值.
答案:


查看更多完整答案,请扫码查看