2024年高中必刷题高二数学选择性必修第一册人教B版
注:目前有些书本章节名称可能整理的还不是很完善,但都是按照顺序排列的,请同学们按照顺序仔细查找。练习册 2024年高中必刷题高二数学选择性必修第一册人教B版 答案主要是用来给同学们做完题方便对答案用的,请勿直接抄袭。
第49页
- 第1页
- 第2页
- 第3页
- 第4页
- 第5页
- 第6页
- 第7页
- 第8页
- 第9页
- 第10页
- 第11页
- 第12页
- 第13页
- 第14页
- 第15页
- 第16页
- 第17页
- 第18页
- 第19页
- 第20页
- 第21页
- 第22页
- 第23页
- 第24页
- 第25页
- 第26页
- 第27页
- 第28页
- 第29页
- 第30页
- 第31页
- 第32页
- 第33页
- 第34页
- 第35页
- 第36页
- 第37页
- 第38页
- 第39页
- 第40页
- 第41页
- 第42页
- 第43页
- 第44页
- 第45页
- 第46页
- 第47页
- 第48页
- 第49页
- 第50页
- 第51页
- 第52页
- 第53页
- 第54页
- 第55页
- 第56页
- 第57页
- 第58页
- 第59页
- 第60页
- 第61页
- 第62页
- 第63页
- 第64页
- 第65页
- 第66页
- 第67页
- 第68页
- 第69页
- 第70页
- 第71页
- 第72页
1. [福建莆田2024高二期中]方程$(x^{2}+2y^{2}-2)\sqrt{x - 3}=0$表示的是 ( )
A. 一个圆和一条直线
B. 一个圆和一条射线
C. 一个圆
D. 一条直线
A. 一个圆和一条直线
B. 一个圆和一条射线
C. 一个圆
D. 一条直线
答案:
D 【解析】(x² + 2y² - 2)√(x - 3) = 0可化为√(x - 3) = 0或x² + 2y² - 2 = 0(x≥3).
∵ x² + 2y² - 2 = 0(x≥3)不成立,
∴ √(x - 3) = 0,即x = 3.
∴ 方程(x² + 2y² - 2)√(x - 3) = 0表示一条直线. 故选D.
∵ x² + 2y² - 2 = 0(x≥3)不成立,
∴ √(x - 3) = 0,即x = 3.
∴ 方程(x² + 2y² - 2)√(x - 3) = 0表示一条直线. 故选D.
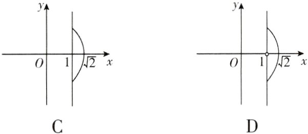
2. [四川德阳五中2023高二开学考]方程$\sqrt{x - 1}\cdot\ln(x^{2}+y^{2}-1)=0$所表示的曲线的图形是 ( )
答案:
D 【解析】因为方程√(x - 1)·ln(x² + y² - 1) = 0,所以可得√(x - 1) = 0或ln(x² + y² - 1) = 0(x≥1),即x = 1(y≠0)或x² + y² = 2(x≥1),所以曲线为直线x = 1(y≠0)与圆x² + y² = 2在直线x = 1的右边部分构成,故选D.
3. 已知0≤α<2π,点P(cosα,sinα)在曲线$(x - 2)^{2}+y^{2}=3$上,则α的值为 ( )
A. $\frac{\pi}{3}$
B. $\frac{5\pi}{3}$
C. $\frac{\pi}{3}$或$\frac{5\pi}{3}$
D. $\frac{\pi}{3}$或$\frac{\pi}{6}$
A. $\frac{\pi}{3}$
B. $\frac{5\pi}{3}$
C. $\frac{\pi}{3}$或$\frac{5\pi}{3}$
D. $\frac{\pi}{3}$或$\frac{\pi}{6}$
答案:
C 【解析】将点P的坐标代入(x - 2)² + y² = 3,得(cosα - 2)² + sin²α = 3,解得cosα = 1/2.
又0≤α<2π,所以α = π/3或5π/3. 故选C.
又0≤α<2π,所以α = π/3或5π/3. 故选C.
4. 下列方程表示同一曲线的一组是 ( )
A. xy = 1,$y=\frac{1}{x}$
B. y = |x|,y = ±x
C. $y=\frac{x^{2}-1}{x - 1}$,y = x + 1
D. $y=\sqrt{1 - x^{2}}$,$x^{2}+y^{2}=1$
A. xy = 1,$y=\frac{1}{x}$
B. y = |x|,y = ±x
C. $y=\frac{x^{2}-1}{x - 1}$,y = x + 1
D. $y=\sqrt{1 - x^{2}}$,$x^{2}+y^{2}=1$
答案:
A 【解析】对于A选项,方程xy = 1和y = 1/x都表示曲线y = 1/x,为同一曲线,A正确;
对于B选项,方程y = ±x中y∈R,而方程y = |x|中y≥0,所以两曲线为不同曲线,B错误;
对于C选项,方程y = (x² - 1)/(x - 1)中x≠1,而方程y = x + 1中x∈R,所以两曲线为不同曲线,C错误;
对于D选项,方程y = √(1 - x²)中0≤y≤1,而方程x² + y² = 1中-1≤y≤1,所以两曲线为不同曲线,D错误.
故选A.
对于B选项,方程y = ±x中y∈R,而方程y = |x|中y≥0,所以两曲线为不同曲线,B错误;
对于C选项,方程y = (x² - 1)/(x - 1)中x≠1,而方程y = x + 1中x∈R,所以两曲线为不同曲线,C错误;
对于D选项,方程y = √(1 - x²)中0≤y≤1,而方程x² + y² = 1中-1≤y≤1,所以两曲线为不同曲线,D错误.
故选A.
5. 平面上到点A(-5,0),B(5,0)距离之和为10的点的轨迹是 ( )
A. 直线
B. 圆
C. 线段
D. 轨迹不存在
A. 直线
B. 圆
C. 线段
D. 轨迹不存在
答案:
C 【解析】由点A(-5,0),B(5,0),得|AB| = 10,
∴ 平面上到点A(-5,0),B(5,0)距离之和为10的点的轨迹是线段AB. 故选C.
∴ 平面上到点A(-5,0),B(5,0)距离之和为10的点的轨迹是线段AB. 故选C.
6. 已知M(-2,0),N(2,0)两点,点P为坐标平面内的动点,满足$|\overrightarrow{MN}|\cdot|\overrightarrow{MP}|+\overrightarrow{MN}\cdot\overrightarrow{NP}=0$,则动点P(x,y)的轨迹方程为 ( )
A. $y^{2}=8x$
B. $y^{2}=-8x$
C. $y^{2}=4x$
D. $y^{2}=-4x$
A. $y^{2}=8x$
B. $y^{2}=-8x$
C. $y^{2}=4x$
D. $y^{2}=-4x$
答案:
B 【解析】由点P的坐标为(x,y),得MN = (4,0),MP = (x + 2,y),NP = (x - 2,y).
∴ |MN| = 4,|MP| = √((x + 2)² + y²),MN·NP = 4(x - 2).
根据已知条件得4√((x + 2)² + y²) = 4(2 - x),整理得y² = -8x,
∴ 点P的轨迹方程为y² = -8x.
∴ |MN| = 4,|MP| = √((x + 2)² + y²),MN·NP = 4(x - 2).
根据已知条件得4√((x + 2)² + y²) = 4(2 - x),整理得y² = -8x,
∴ 点P的轨迹方程为y² = -8x.
7. 若函数f(x)是定义域和值域均为[0,1]的单调递增函数,我们称曲线y = f(x)为洛伦兹曲线,它在经济学上用来描述一个国家的家庭收入分布情况. 如图,设曲线y = f(x)与直线y = x所围成的区域面积为A,曲线y = f(x)与直线x = 1,x轴围成的区域面积为B,定义基尼系数$G=\frac{A}{A + B}$,基尼系数可以衡量一个国家家庭收入分布不平的程度. 若某个国家的洛伦兹曲线为$y = -\sqrt{1 - x^{2}}+1(0\leq x\leq1)$,则该国家的基尼系数为 ( )

A. $\frac{\pi}{4}-\frac{1}{2}$
B. $1-\frac{\pi}{4}$
C. $\frac{\pi}{2}-\frac{1}{2}$
D. $\frac{\pi}{2}-1$
A. $\frac{\pi}{4}-\frac{1}{2}$
B. $1-\frac{\pi}{4}$
C. $\frac{\pi}{2}-\frac{1}{2}$
D. $\frac{\pi}{2}-1$
答案:
D 【解析】由y = -√(1 - x²) + 1(0≤x≤1),可得x² + (y - 1)² = 1(0≤x≤1,0≤y≤1),所以洛伦兹曲线是圆心为(0,1),半径为1的1/4圆周,所以A = 1/4π×1² - 1/2×1×1 = π/4 - 1/2,B = 1×1 - π/4×1² = 1 - π/4,所以G = A/(A + B) = (π/4 - 1/2)/(π/4 - 1/2 + 1 - π/4) = π/2 - 1,故选D.
8. [上海育才中学2024高二期末]已知坐标满足方程F(x,y)=0的点都在曲线C上,则下列说法正确的是 ( )
A. 曲线C上的点的坐标都适合方程F(x,y)=0
B. 不在曲线C上的点的坐标必不适合方程F(x,y)=0
C. 凡坐标不适合方程F(x,y)=0的点都不在曲线C上
D. 不在曲线C上的点的坐标有些适合方程F(x,y)=0
A. 曲线C上的点的坐标都适合方程F(x,y)=0
B. 不在曲线C上的点的坐标必不适合方程F(x,y)=0
C. 凡坐标不适合方程F(x,y)=0的点都不在曲线C上
D. 不在曲线C上的点的坐标有些适合方程F(x,y)=0
答案:
B 【解析】由题意得方程F(x,y) = 0表示的曲线是曲线C或者是曲线C的一部分,故A,C,D不正确,B正确. 故选B.
9. (多选)[江苏南通2024高二期末]已知曲线E:$x^{2}+y^{2}-xy = 4$,则 ( )
A. E关于原点对称
B. E关于x轴对称
C. E关于直线y = x对称
D. (2,2)为E的一个顶点
A. E关于原点对称
B. E关于x轴对称
C. E关于直线y = x对称
D. (2,2)为E的一个顶点
答案:
ACD 【解析】A:用 -x和 -y同时替换方程中的x和y,化简后方程不变,故曲线E关于原点对称,故A正确;
B:用 -y替换方程中的y,方程变为x² + y² + xy = 4,与原方程不同,故曲线E不关于x轴对称,故B错误;
C:用y替换方程中的x,同时用x替换方程中的y,方程不变,故曲线E关于直线y = x对称,故C正确;
D:由C选项得曲线E关于直线y = x对称,
解{x² + y² - xy = 4,y = x,
得{x = 2,y = 2或{x = -2,y = -2,
所以(2,2)是E的一个顶点,故D正确. 故选ACD.
【名师点拨】曲线与其对称轴的交点称为曲线的顶点.
B:用 -y替换方程中的y,方程变为x² + y² + xy = 4,与原方程不同,故曲线E不关于x轴对称,故B错误;
C:用y替换方程中的x,同时用x替换方程中的y,方程不变,故曲线E关于直线y = x对称,故C正确;
D:由C选项得曲线E关于直线y = x对称,
解{x² + y² - xy = 4,y = x,
得{x = 2,y = 2或{x = -2,y = -2,
所以(2,2)是E的一个顶点,故D正确. 故选ACD.
【名师点拨】曲线与其对称轴的交点称为曲线的顶点.
10. 方程|x + 1|+|y - 1| = 2表示的曲线围成的图形对称中心的坐标为_______,面积为_______.
答案:
(-1,1) 8 【解析】由|x + 1| + |y - 1| = 2得{x + 1 + y - 1 = 2,x≥ -1,y≥1,x + 1 - y + 1 = 2,x≥ -1,y<1,-x - 1 + y - 1 = 2,x< -1,y≥1,-x - 1 - y + 1 = 2,x< -1,y<1,
画出图形如图所示,
故对称中心为(-1,1).
由图得曲线所围成的图形是边长为√(2² + 2²)=2√2的正方形,故面积为(2√2)² = 8.
(-1,1) 8 【解析】由|x + 1| + |y - 1| = 2得{x + 1 + y - 1 = 2,x≥ -1,y≥1,x + 1 - y + 1 = 2,x≥ -1,y<1,-x - 1 + y - 1 = 2,x< -1,y≥1,-x - 1 - y + 1 = 2,x< -1,y<1,
画出图形如图所示,
由图得曲线所围成的图形是边长为√(2² + 2²)=2√2的正方形,故面积为(2√2)² = 8.
11. 在平面直角坐标系xOy中,曲线$C_{1}$的方程为y = k|x|+2,曲线$C_{2}$的方程为$(x + 1)^{2}+y^{2}=4$,若$C_{1}$与$C_{2}$有且仅有三个公共点,则实数k的值为_______.
答案:
-4/3 【解析】由C₁与C₂有且仅有三个公共点,如图。

由题意可知,k<0,C₂(-1,0),故点C₂到直线y = kx + 2的距离等于圆的半径,即|2 - k|/√(1 + k²)=2,解得k = 0或k = -4/3,又k<0,
∴ k = -4/3.
-4/3 【解析】由C₁与C₂有且仅有三个公共点,如图。
由题意可知,k<0,C₂(-1,0),故点C₂到直线y = kx + 2的距离等于圆的半径,即|2 - k|/√(1 + k²)=2,解得k = 0或k = -4/3,又k<0,
∴ k = -4/3.
查看更多完整答案,请扫码查看