2025年金版教程高中新课程创新导学案高中物理选择性必修第二册人教版
注:目前有些书本章节名称可能整理的还不是很完善,但都是按照顺序排列的,请同学们按照顺序仔细查找。练习册 2025年金版教程高中新课程创新导学案高中物理选择性必修第二册人教版 答案主要是用来给同学们做完题方便对答案用的,请勿直接抄袭。
第51页
- 第1页
- 第2页
- 第3页
- 第4页
- 第5页
- 第6页
- 第7页
- 第8页
- 第9页
- 第10页
- 第11页
- 第12页
- 第13页
- 第14页
- 第15页
- 第16页
- 第17页
- 第18页
- 第19页
- 第20页
- 第21页
- 第22页
- 第23页
- 第24页
- 第25页
- 第26页
- 第27页
- 第28页
- 第29页
- 第30页
- 第31页
- 第32页
- 第33页
- 第34页
- 第35页
- 第36页
- 第37页
- 第38页
- 第39页
- 第40页
- 第41页
- 第42页
- 第43页
- 第44页
- 第45页
- 第46页
- 第47页
- 第48页
- 第49页
- 第50页
- 第51页
- 第52页
- 第53页
- 第54页
- 第55页
- 第56页
- 第57页
- 第58页
- 第59页
- 第60页
- 第61页
- 第62页
- 第63页
- 第64页
- 第65页
- 第66页
- 第67页
- 第68页
- 第69页
- 第70页
- 第71页
- 第72页
- 第73页
- 第74页
- 第75页
- 第76页
- 第77页
- 第78页
- 第79页
- 第80页
- 第81页
- 第82页
- 第83页
- 第84页
- 第85页
- 第86页
- 第87页
- 第88页
- 第89页
- 第90页
- 第91页
- 第92页
- 第93页
- 第94页
- 第95页
- 第96页
- 第97页
- 第98页
- 第99页
- 第100页
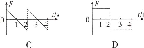
[变式训练3] 矩形导线框abcd放在匀强磁场中,磁感线方向与线框平面垂直,磁感应强度B随时间变化的图像如图所示,t = 0时刻,磁感应强度的方向垂直纸面向里。若规定导线框中感应电流沿逆时针方向为正,则在0~4 s时间内,线框中的感应电流I以及线框的ab边所受安培力F(安培力取向上为正)随时间变化的图像为图中的 ( )

答案:
[变式训练3] C [由图可知,0~2s内,线框中磁通量的变化率不变,故0~2s内感应电流不变,由楞次定律和安培定则可知,电流方向为顺时针,即电流为负;同理可知,2~4s内感应电流不变且方向为逆时针,即电流为正;由$E=\frac{\Delta\varPhi}{\Delta t}=\frac{\Delta B}{\Delta t}S$可知,两段时间内电流大小相等,A、B错误。电流大小恒定不变,故由$F = IlB$可知,安培力大小与B成正比,再由左手定则知,C正确,D错误。]
一 电磁感应现象中的感生电场
1. 感生电场:麦克斯韦认为,磁场______时会在空间激发一种电场。这种电场与静电场不同,它不是由______产生的,我们把它叫作感生电场。
2. 感生电动势:如果感应电动势是由______产生的,它也叫作感生电动势。
3. 应用:电子感应加速器。
1. 感生电场:麦克斯韦认为,磁场______时会在空间激发一种电场。这种电场与静电场不同,它不是由______产生的,我们把它叫作感生电场。
2. 感生电动势:如果感应电动势是由______产生的,它也叫作感生电动势。
3. 应用:电子感应加速器。
答案:
①变化 ②电荷
@@③感生电场
@@③感生电场
二 涡流
1. 定义:当穿过导体的磁通量发生变化时,由于______,导体内会产生像水中的漩涡一样的______电流,我们把它叫作涡电流,简称涡流。
2. 应用
(1)涡流热效应的应用:如______、电磁炉。
(2)涡流磁效应的应用:如______、______。
3. 防止:电动机、变压器等设备中应防止铁芯中涡流过大而导致浪费能量,损坏电器。
(1)途径一:增大铁芯材料的______。
(2)途径二:用互相绝缘的______叠成的铁芯代替整块硅钢铁芯。
1. 定义:当穿过导体的磁通量发生变化时,由于______,导体内会产生像水中的漩涡一样的______电流,我们把它叫作涡电流,简称涡流。
2. 应用
(1)涡流热效应的应用:如______、电磁炉。
(2)涡流磁效应的应用:如______、______。
3. 防止:电动机、变压器等设备中应防止铁芯中涡流过大而导致浪费能量,损坏电器。
(1)途径一:增大铁芯材料的______。
(2)途径二:用互相绝缘的______叠成的铁芯代替整块硅钢铁芯。
答案:
①电磁感应 ②感应
@@③真空冶炼炉 ④探雷器 ⑤安检门
@@⑥电阻率 ⑦硅钢片
@@③真空冶炼炉 ④探雷器 ⑤安检门
@@⑥电阻率 ⑦硅钢片
查看更多完整答案,请扫码查看