2025年金版教程高中新课程创新导学案高中物理选择性必修第二册人教版
注:目前有些书本章节名称可能整理的还不是很完善,但都是按照顺序排列的,请同学们按照顺序仔细查找。练习册 2025年金版教程高中新课程创新导学案高中物理选择性必修第二册人教版 答案主要是用来给同学们做完题方便对答案用的,请勿直接抄袭。
第50页
- 第1页
- 第2页
- 第3页
- 第4页
- 第5页
- 第6页
- 第7页
- 第8页
- 第9页
- 第10页
- 第11页
- 第12页
- 第13页
- 第14页
- 第15页
- 第16页
- 第17页
- 第18页
- 第19页
- 第20页
- 第21页
- 第22页
- 第23页
- 第24页
- 第25页
- 第26页
- 第27页
- 第28页
- 第29页
- 第30页
- 第31页
- 第32页
- 第33页
- 第34页
- 第35页
- 第36页
- 第37页
- 第38页
- 第39页
- 第40页
- 第41页
- 第42页
- 第43页
- 第44页
- 第45页
- 第46页
- 第47页
- 第48页
- 第49页
- 第50页
- 第51页
- 第52页
- 第53页
- 第54页
- 第55页
- 第56页
- 第57页
- 第58页
- 第59页
- 第60页
- 第61页
- 第62页
- 第63页
- 第64页
- 第65页
- 第66页
- 第67页
- 第68页
- 第69页
- 第70页
- 第71页
- 第72页
- 第73页
- 第74页
- 第75页
- 第76页
- 第77页
- 第78页
- 第79页
- 第80页
- 第81页
- 第82页
- 第83页
- 第84页
- 第85页
- 第86页
- 第87页
- 第88页
- 第89页
- 第90页
- 第91页
- 第92页
- 第93页
- 第94页
- 第95页
- 第96页
- 第97页
- 第98页
- 第99页
- 第100页
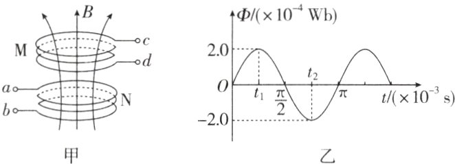
[变式训练2](多选)无线充电原理图如图甲所示,M为匝数n = 50、电阻r = 1.0 Ω的线圈,N为送电线圈。当送电线圈N接交变电流,并将c、d两端短接后,在M线圈内产生了与线圈平面垂直的磁场,其磁通量$\varPhi$随时间t变化的规律如图乙所示。

关于通过M线圈的电荷量,下列判断正确的是( )
A. 在0~$t_{1}$内,为$1×10^{-2}$ C
B. 在0~$\frac{\pi}{2}×10^{-3}$ s内,为$2×10^{-2}$ C
C. 在$t_{1}$~$t_{2}$内,为$2×10^{-2}$ C
D. 在$t_{1}$~$t_{2}$内,为0 [名师点拨]见答案册P220
关于通过M线圈的电荷量,下列判断正确的是( )
A. 在0~$t_{1}$内,为$1×10^{-2}$ C
B. 在0~$\frac{\pi}{2}×10^{-3}$ s内,为$2×10^{-2}$ C
C. 在$t_{1}$~$t_{2}$内,为$2×10^{-2}$ C
D. 在$t_{1}$~$t_{2}$内,为0 [名师点拨]见答案册P220
答案:
AC [在$0~t_1$内,通过M线圈的电荷量为$q_1=n\frac{\Delta\varPhi_1}{r}=50\times\frac{2.0\times10^{-4}}{1.0}\text{ C}=1\times10^{-2}\text{ C}$,A正确;在$0~\frac{\pi}{2}\times10^{-3}\text{ s}$内,通过M线圈的电荷量为$q_2=n\frac{\Delta\varPhi_2}{r}=50\times\frac{0 - 0}{1.0}\text{ C}=0$,B错误;在$t_1~t_2$内,通过M线圈的电荷量为$q_3=n\frac{\Delta\varPhi_3}{r}=50\times\frac{4.0\times10^{-4}}{1.0}\text{ C}=2\times10^{-2}\text{ C}$,故C正确,D错误。[名师点拨] 根据$q=n\frac{\Delta\varPhi}{R + r}$计算电荷量时,应注意区分初、末磁通量的正负;由于电流方向可能变化,所以初、末磁通量相等时,$q = 0$。
实践提升
例3 (多选)如图所示,有一宽为2L的匀强磁场区域,磁场方向垂直于纸面向里。现有一边长为L、粗细均匀的正方形金属线框MNPQ,以恒定速度v穿过磁场区域。在运动过程中,金属线框MN边始终与磁场区域边界平行,取MN边刚进入磁场时为计时起点,规定顺时针方向为电流正方向,则在下列选项中,能正确反映线框中感应电流i以及M、N两点间电势差$U_{MN}$随时间变化规律的是 ( )


例3 (多选)如图所示,有一宽为2L的匀强磁场区域,磁场方向垂直于纸面向里。现有一边长为L、粗细均匀的正方形金属线框MNPQ,以恒定速度v穿过磁场区域。在运动过程中,金属线框MN边始终与磁场区域边界平行,取MN边刚进入磁场时为计时起点,规定顺时针方向为电流正方向,则在下列选项中,能正确反映线框中感应电流i以及M、N两点间电势差$U_{MN}$随时间变化规律的是 ( )
答案:
探究3
实践提升
例3 [规范解答] 取MN边刚进入磁场时为计时起点,则线框进入磁场区域的过程,即0~$\frac{L}{v}$时间内,由楞次定律可知,电流方向为逆时针方向,且M点电势比N点高,感应电动势大小和感应电流大小分别为$E = BLv$,$i=\frac{E}{R}=\frac{BLv}{R}$,M、N两点间电势差为$U_{MN}=i\cdot\frac{3R}{4}=\frac{3BLv}{4}$;线框完全进入磁场区域至恰要出磁场区域的过程,即$\frac{L}{v}$~$\frac{2L}{v}$时间内,线框内磁通量未变化,所以感应电流为零,MN边切割磁感线,结合右手定则、法拉第电磁感应定律等规律知,M、N两点间电势差为$U_{MN}=BLv$;线框出磁场区域的过程,即$\frac{2L}{v}$~$\frac{3L}{v}$时间内,由楞次定律可知电流方向为顺时针方向,且M点电势比N点高,感应电动势大小和感应电流大小分别为$E = BLv$,$i=\frac{E}{R}=\frac{BLv}{R}$,M、N两点间电势差为$U_{MN}=i\cdot\frac{R}{4}=\frac{BLv}{4}$。故选A、D。
[答案] AD
实践提升
例3 [规范解答] 取MN边刚进入磁场时为计时起点,则线框进入磁场区域的过程,即0~$\frac{L}{v}$时间内,由楞次定律可知,电流方向为逆时针方向,且M点电势比N点高,感应电动势大小和感应电流大小分别为$E = BLv$,$i=\frac{E}{R}=\frac{BLv}{R}$,M、N两点间电势差为$U_{MN}=i\cdot\frac{3R}{4}=\frac{3BLv}{4}$;线框完全进入磁场区域至恰要出磁场区域的过程,即$\frac{L}{v}$~$\frac{2L}{v}$时间内,线框内磁通量未变化,所以感应电流为零,MN边切割磁感线,结合右手定则、法拉第电磁感应定律等规律知,M、N两点间电势差为$U_{MN}=BLv$;线框出磁场区域的过程,即$\frac{2L}{v}$~$\frac{3L}{v}$时间内,由楞次定律可知电流方向为顺时针方向,且M点电势比N点高,感应电动势大小和感应电流大小分别为$E = BLv$,$i=\frac{E}{R}=\frac{BLv}{R}$,M、N两点间电势差为$U_{MN}=i\cdot\frac{R}{4}=\frac{BLv}{4}$。故选A、D。
[答案] AD
查看更多完整答案,请扫码查看