2025年金版教程高中新课程创新导学案高中物理选择性必修第二册人教版
注:目前有些书本章节名称可能整理的还不是很完善,但都是按照顺序排列的,请同学们按照顺序仔细查找。练习册 2025年金版教程高中新课程创新导学案高中物理选择性必修第二册人教版 答案主要是用来给同学们做完题方便对答案用的,请勿直接抄袭。
第43页
- 第1页
- 第2页
- 第3页
- 第4页
- 第5页
- 第6页
- 第7页
- 第8页
- 第9页
- 第10页
- 第11页
- 第12页
- 第13页
- 第14页
- 第15页
- 第16页
- 第17页
- 第18页
- 第19页
- 第20页
- 第21页
- 第22页
- 第23页
- 第24页
- 第25页
- 第26页
- 第27页
- 第28页
- 第29页
- 第30页
- 第31页
- 第32页
- 第33页
- 第34页
- 第35页
- 第36页
- 第37页
- 第38页
- 第39页
- 第40页
- 第41页
- 第42页
- 第43页
- 第44页
- 第45页
- 第46页
- 第47页
- 第48页
- 第49页
- 第50页
- 第51页
- 第52页
- 第53页
- 第54页
- 第55页
- 第56页
- 第57页
- 第58页
- 第59页
- 第60页
- 第61页
- 第62页
- 第63页
- 第64页
- 第65页
- 第66页
- 第67页
- 第68页
- 第69页
- 第70页
- 第71页
- 第72页
- 第73页
- 第74页
- 第75页
- 第76页
- 第77页
- 第78页
- 第79页
- 第80页
- 第81页
- 第82页
- 第83页
- 第84页
- 第85页
- 第86页
- 第87页
- 第88页
- 第89页
- 第90页
- 第91页
- 第92页
- 第93页
- 第94页
- 第95页
- 第96页
- 第97页
- 第98页
- 第99页
- 第100页
实践提升
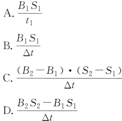
例1 如图所示,两根平行光滑金属导轨固定在水平面内,导轨间距为$l$,左端连接电阻,轨道平面内存在竖直向下的匀强磁场,磁感应强度随时间增大,导体棒$ab$在导轨上向右运动,运动过程中导体棒始终与导轨垂直且接触良好,其长度恰好等于导轨间距。设$t_1$时刻磁感应强度为$B_1$,回路面积为$S_1$,设$t_1+\Delta t$时刻磁感应强度为$B_2$,回路面积为$S_2$,$\Delta t$极短,趋近于0,则$t_1$时刻的感应电动势大小为( )
[实践探究](1)如何求某时刻的瞬时感应电动势?
______________________________
(2)本题中导致穿过回路的磁通量变化的因素有哪些?
______________________________
例1 如图所示,两根平行光滑金属导轨固定在水平面内,导轨间距为$l$,左端连接电阻,轨道平面内存在竖直向下的匀强磁场,磁感应强度随时间增大,导体棒$ab$在导轨上向右运动,运动过程中导体棒始终与导轨垂直且接触良好,其长度恰好等于导轨间距。设$t_1$时刻磁感应强度为$B_1$,回路面积为$S_1$,设$t_1+\Delta t$时刻磁感应强度为$B_2$,回路面积为$S_2$,$\Delta t$极短,趋近于0,则$t_1$时刻的感应电动势大小为( )
[实践探究](1)如何求某时刻的瞬时感应电动势?
______________________________
(2)本题中导致穿过回路的磁通量变化的因素有哪些?
______________________________
答案:
[实践探究](1)提示:可以用包含该时刻在内的极短时间内的平均感应电动势表示。
(2)提示:回路面积和磁感应强度。
[规范解答] $\Delta t$ 极短,则 $\Delta t$ 内的平均感应电动势 $\overline{E}$ 可认为等于 $t_1$ 时刻的感应电动势 $E$,根据法拉第电磁感应定律,$t_1$~$(t_1 + \Delta t)$ 内回路中的平均感应电动势大小 $\overline{E}=\frac{\Delta\varPhi}{\Delta t}$,其中磁通量变化量大小 $\Delta\varPhi=\varPhi_2 - \varPhi_1$,$\varPhi_1 = B_1S_1$,$\varPhi_2 = B_2S_2$,可解得 $E=\frac{B_2S_2 - B_1S_1}{\Delta t}$,D正确。
[答案] D
(2)提示:回路面积和磁感应强度。
[规范解答] $\Delta t$ 极短,则 $\Delta t$ 内的平均感应电动势 $\overline{E}$ 可认为等于 $t_1$ 时刻的感应电动势 $E$,根据法拉第电磁感应定律,$t_1$~$(t_1 + \Delta t)$ 内回路中的平均感应电动势大小 $\overline{E}=\frac{\Delta\varPhi}{\Delta t}$,其中磁通量变化量大小 $\Delta\varPhi=\varPhi_2 - \varPhi_1$,$\varPhi_1 = B_1S_1$,$\varPhi_2 = B_2S_2$,可解得 $E=\frac{B_2S_2 - B_1S_1}{\Delta t}$,D正确。
[答案] D
查看更多完整答案,请扫码查看