第70页
- 第1页
- 第2页
- 第3页
- 第4页
- 第5页
- 第6页
- 第7页
- 第8页
- 第9页
- 第10页
- 第11页
- 第12页
- 第13页
- 第14页
- 第15页
- 第16页
- 第17页
- 第18页
- 第19页
- 第20页
- 第21页
- 第22页
- 第23页
- 第24页
- 第25页
- 第26页
- 第27页
- 第28页
- 第29页
- 第30页
- 第31页
- 第32页
- 第33页
- 第34页
- 第35页
- 第36页
- 第37页
- 第38页
- 第39页
- 第40页
- 第41页
- 第42页
- 第43页
- 第44页
- 第45页
- 第46页
- 第47页
- 第48页
- 第49页
- 第50页
- 第51页
- 第52页
- 第53页
- 第54页
- 第55页
- 第56页
- 第57页
- 第58页
- 第59页
- 第60页
- 第61页
- 第62页
- 第63页
- 第64页
- 第65页
- 第66页
- 第67页
- 第68页
- 第69页
- 第70页
- 第71页
- 第72页
- 第73页
- 第74页
- 第75页
- 第76页
- 第77页
- 第78页
- 第79页
- 第80页
- 第81页
- 第82页
- 第83页
- 第84页
- 第85页
- 第86页
- 第87页
- 第88页
- 第89页
- 第90页
- 第91页
- 第92页
- 第93页
- 第94页
- 第95页
- 第96页
- 第97页
- 第98页
- 第99页
- 第100页
- 第101页
- 第102页
- 第103页
- 第104页
- 第105页
- 第106页
- 第107页
- 第108页
- 第109页
- 第110页
- 第111页
- 第112页
- 第113页
- 第114页
- 第115页
- 第116页
- 第117页
- 第118页
- 第119页
- 第120页
- 第121页
- 第122页
- 第123页
- 第124页
- 第125页
3. 用加减消元法解方程组$\begin{cases}5x + y = 3①\\7x + 2y = -9②\end{cases}$时,将①×2 - ②得 ____________.
答案:
4. 已知关于$x$,$y$的二元一次方程组$\begin{cases}2x + 4y = 4 - 3m\\x - y = 3m - 1\end{cases}$,则$x + y$的值为 _______.
答案:
5. 已知方程组$\begin{cases}2x = 3 - 3t\\3y = 4 + 4t\end{cases}$,可得$x$,$y$的数量关系为 _______.
答案:
6. 用加减消元法解下列方程组:
(1)$\begin{cases}3m + 7n = 1\\2m - 7n = -11\end{cases}$; (2)$\begin{cases}5x + 2y = 12\\3x + 4y = 10\end{cases}$;
(3)$\begin{cases}3(x - 1) = 4(y - 4)\\5(y - 1) = 3(x + 5)\end{cases}$;
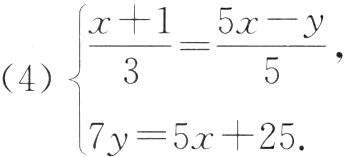
(4)
(1)$\begin{cases}3m + 7n = 1\\2m - 7n = -11\end{cases}$; (2)$\begin{cases}5x + 2y = 12\\3x + 4y = 10\end{cases}$;
(3)$\begin{cases}3(x - 1) = 4(y - 4)\\5(y - 1) = 3(x + 5)\end{cases}$;
(4)
答案:
7. 关于$x$,$y$的二元一次方程组$\begin{cases}2x + 5y = 2\\5x + 2y = -13\end{cases}$的解满足$x - y = 2m - 1$,求$m$的值.
答案:
查看更多完整答案,请扫码查看