2024年孟建平单元测试九年级数学全一册人教版
注:目前有些书本章节名称可能整理的还不是很完善,但都是按照顺序排列的,请同学们按照顺序仔细查找。练习册 2024年孟建平单元测试九年级数学全一册人教版 答案主要是用来给同学们做完题方便对答案用的,请勿直接抄袭。
第30页
- 第1页
- 第2页
- 第3页
- 第4页
- 第5页
- 第6页
- 第7页
- 第8页
- 第9页
- 第10页
- 第11页
- 第12页
- 第13页
- 第14页
- 第15页
- 第16页
- 第17页
- 第18页
- 第19页
- 第20页
- 第21页
- 第22页
- 第23页
- 第24页
- 第25页
- 第26页
- 第27页
- 第28页
- 第29页
- 第30页
- 第31页
- 第32页
- 第33页
- 第34页
- 第35页
- 第36页
- 第37页
- 第38页
- 第39页
- 第40页
- 第41页
- 第42页
- 第43页
- 第44页
- 第45页
- 第46页
- 第47页
- 第48页
- 第49页
- 第50页
- 第51页
- 第52页
- 第53页
- 第54页
- 第55页
- 第56页
- 第57页
- 第58页
- 第59页
- 第60页
- 第61页
- 第62页
- 第63页
- 第64页
- 第65页
- 第66页
- 第67页
- 第68页
- 第69页
- 第70页
- 第71页
- 第72页
- 第73页
- 第74页
- 第75页
- 第76页
- 第77页
- 第78页
- 第79页
- 第80页
- 第81页
- 第82页
- 第83页
- 第84页
- 第85页
- 第86页
- 第87页
- 第88页
- 第89页
- 第90页
- 第91页
- 第92页
- 第93页
- 第94页
- 第95页
- 第96页
- 第97页
- 第98页
- 第99页
- 第100页
- 第101页
- 第102页
- 第103页
- 第104页
- 第105页
- 第106页
- 第107页
- 第108页
- 第109页
- 第110页
- 第111页
- 第112页
- 第113页
- 第114页
- 第115页
- 第116页
23. (12分)如图,直线$y = -2x + 4$交y轴于点A,交抛物线$y = \frac{1}{2}x^{2}+bx + c$于点B(3,-2),抛物线经过点C(-1,0),交y轴于点D,点P是抛物线上的动点,作$PE\perp DB$交DB所在直线于点E.

(1)求抛物线的解析式;
(2)当$\triangle PDE$为等腰直角三角形时,求出PE的长及点P坐标;
(3)在(2)的条件下,连接PB,将$\triangle PBE$沿直线AB翻折,直接写出翻折后点E的对称点坐标.
(1)求抛物线的解析式;
(2)当$\triangle PDE$为等腰直角三角形时,求出PE的长及点P坐标;
(3)在(2)的条件下,连接PB,将$\triangle PBE$沿直线AB翻折,直接写出翻折后点E的对称点坐标.
答案:
解:
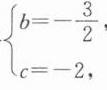
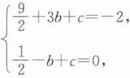
(1)把点B(3,−2),C(−1,0),代入y=$\frac{1}{2}$x²+bx+c得
,解得
,
所以y=$\frac{1}{2}$x²−−$\frac{3}{2}$x−2.
(2)设P(a,$\frac{1}{2}$a²−$\frac{3}{2}$a−2),由
(1)得D(0,−2),
∴E(a,−2).
∵△PED为等腰直角三角形,
∴PE=DE,即|$\frac{1}{2}$a²−$\frac{3}{2}$a−2+2|=|a{.当$\frac{1}{2}$a²−$\frac{3}{2}$a=a时,解得a1=5,a2=0 (舍去);当一$\frac{1}{2}$a²+$\frac{3}{2}$a=a时,解得a3=1,a4=0(舍去).PE=5时,
∴点P(5,3),PE=1时,点P(1,−3).
(3)($\frac{9}{5}$,−$\frac{18}{5}$)或($\frac{21}{5}$,−$\frac{2}{5}$). 解析:由
(2)知E(5,−2)或E(1,−2).作点E关于
AB的对称点E',逵接EE交AB于点F,设F(a,−2a+4).当E(5,−2)时,BE²=4,BF2=(3−a)²+(2a−6)²,FE²=(5−a)²+(2a−6)².在Rt△BFE中,BF²+EF²=BE²,即(3−a)²+(2a−6)²+(5−a)²+(2a−6)²=4,整理得5a²−32a+51=0,解得a=$\frac{17}{5}$或a=3(舍去),
∴F($\frac{17}{5}$,−$\frac{14}{5}$).
∵E 和E'关于点F对称,
∴E($\frac{9}{5}$,−$\frac{18}{5}$);当E(1,−2)时,同理可得(3−a)²+(2a−6))²+((1−a)²²+
(2a−6)²=4,整理得5a²−28a+39=0,解得α=$\frac{13}{5}$或a=3(舍去),
∴F($\frac{13}{5}$,−$\frac{6}{5}$).
∵E和E'美于点F对称,
∴E($\frac{21}{5}$,−$\frac{2}{5}$).综上,点E关于直线AB翻折后的点E'的坐标为($\frac{9}{5}$,一$\frac{18}{5}$)或($\frac{21}{5}$,−$\frac{2}{5}$).
解:
(1)把点B(3,−2),C(−1,0),代入y=$\frac{1}{2}$x²+bx+c得
所以y=$\frac{1}{2}$x²−−$\frac{3}{2}$x−2.
(2)设P(a,$\frac{1}{2}$a²−$\frac{3}{2}$a−2),由
(1)得D(0,−2),
∴E(a,−2).
∵△PED为等腰直角三角形,
∴PE=DE,即|$\frac{1}{2}$a²−$\frac{3}{2}$a−2+2|=|a{.当$\frac{1}{2}$a²−$\frac{3}{2}$a=a时,解得a1=5,a2=0 (舍去);当一$\frac{1}{2}$a²+$\frac{3}{2}$a=a时,解得a3=1,a4=0(舍去).PE=5时,
∴点P(5,3),PE=1时,点P(1,−3).
(3)($\frac{9}{5}$,−$\frac{18}{5}$)或($\frac{21}{5}$,−$\frac{2}{5}$). 解析:由
(2)知E(5,−2)或E(1,−2).作点E关于
AB的对称点E',逵接EE交AB于点F,设F(a,−2a+4).当E(5,−2)时,BE²=4,BF2=(3−a)²+(2a−6)²,FE²=(5−a)²+(2a−6)².在Rt△BFE中,BF²+EF²=BE²,即(3−a)²+(2a−6)²+(5−a)²+(2a−6)²=4,整理得5a²−32a+51=0,解得a=$\frac{17}{5}$或a=3(舍去),
∴F($\frac{17}{5}$,−$\frac{14}{5}$).
∵E 和E'关于点F对称,
∴E($\frac{9}{5}$,−$\frac{18}{5}$);当E(1,−2)时,同理可得(3−a)²+(2a−6))²+((1−a)²²+
(2a−6)²=4,整理得5a²−28a+39=0,解得α=$\frac{13}{5}$或a=3(舍去),
∴F($\frac{13}{5}$,−$\frac{6}{5}$).
∵E和E'美于点F对称,
∴E($\frac{21}{5}$,−$\frac{2}{5}$).综上,点E关于直线AB翻折后的点E'的坐标为($\frac{9}{5}$,一$\frac{18}{5}$)或($\frac{21}{5}$,−$\frac{2}{5}$).
查看更多完整答案,请扫码查看