2024年孟建平单元测试九年级数学全一册人教版
注:目前有些书本章节名称可能整理的还不是很完善,但都是按照顺序排列的,请同学们按照顺序仔细查找。练习册 2024年孟建平单元测试九年级数学全一册人教版 答案主要是用来给同学们做完题方便对答案用的,请勿直接抄袭。
第113页
- 第1页
- 第2页
- 第3页
- 第4页
- 第5页
- 第6页
- 第7页
- 第8页
- 第9页
- 第10页
- 第11页
- 第12页
- 第13页
- 第14页
- 第15页
- 第16页
- 第17页
- 第18页
- 第19页
- 第20页
- 第21页
- 第22页
- 第23页
- 第24页
- 第25页
- 第26页
- 第27页
- 第28页
- 第29页
- 第30页
- 第31页
- 第32页
- 第33页
- 第34页
- 第35页
- 第36页
- 第37页
- 第38页
- 第39页
- 第40页
- 第41页
- 第42页
- 第43页
- 第44页
- 第45页
- 第46页
- 第47页
- 第48页
- 第49页
- 第50页
- 第51页
- 第52页
- 第53页
- 第54页
- 第55页
- 第56页
- 第57页
- 第58页
- 第59页
- 第60页
- 第61页
- 第62页
- 第63页
- 第64页
- 第65页
- 第66页
- 第67页
- 第68页
- 第69页
- 第70页
- 第71页
- 第72页
- 第73页
- 第74页
- 第75页
- 第76页
- 第77页
- 第78页
- 第79页
- 第80页
- 第81页
- 第82页
- 第83页
- 第84页
- 第85页
- 第86页
- 第87页
- 第88页
- 第89页
- 第90页
- 第91页
- 第92页
- 第93页
- 第94页
- 第95页
- 第96页
- 第97页
- 第98页
- 第99页
- 第100页
- 第101页
- 第102页
- 第103页
- 第104页
- 第105页
- 第106页
- 第107页
- 第108页
- 第109页
- 第110页
- 第111页
- 第112页
- 第113页
- 第114页
- 第115页
- 第116页
20. (10分)有一个抛物线型蔬菜大棚,将其截面放在如图所示的平面直角坐标系中,抛物线可以用函数$y = ax^{2}+bx$来表示,已知$OA = 8$米,距离$O$点2米处的棚高$BC$为$\frac{9}{4}$米.
(1)求该抛物线的解析式;
(2)若借助横梁$DE(DE// OA)$建一个门,要求门的高度为1.5米,求横梁$DE$的长度是多少米?

(1)求该抛物线的解析式;
(2)若借助横梁$DE(DE// OA)$建一个门,要求门的高度为1.5米,求横梁$DE$的长度是多少米?
答案:
解:
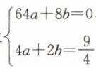
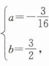
(1)由题意可得,抛物线经过(2,$\frac{9}{4}$),(8,0),故
,解得
,
故抛物线解析式为y=−$\frac{3}{16}$x²+$\frac{3}{2}$x.
(2)由题意可得:当y=1.5时,−$\frac{3}{16}$x²+$\frac{3}{2}$x=1.5,解得x1=4+2$\sqrt{2}$,x2=4−2$\sqrt{2}$
∴DE=x−x2=4+2$\sqrt{2}$−(4−2$\sqrt{2}$)=4$\sqrt{2}$
解:
(1)由题意可得,抛物线经过(2,$\frac{9}{4}$),(8,0),故
故抛物线解析式为y=−$\frac{3}{16}$x²+$\frac{3}{2}$x.
(2)由题意可得:当y=1.5时,−$\frac{3}{16}$x²+$\frac{3}{2}$x=1.5,解得x1=4+2$\sqrt{2}$,x2=4−2$\sqrt{2}$
∴DE=x−x2=4+2$\sqrt{2}$−(4−2$\sqrt{2}$)=4$\sqrt{2}$
21. (10分)如图,$AB$和$BC$组成圆的折弦,$AB\gt BC$,$D$是$\overset{\frown}{ABC}$的中点,$DE\perp AB$于点$E$.连接$AD$,$AC$,$BD$.
(1)写出所有与$\angle DBA$相等的角__________(不添加任何线段);
(2)判断$AE$,$BE$,$BC$之间的数量关系并证明;
(3)如图,已知$AD = 7$,$BD = 3$,求$AB\cdot BC$的值.

(1)写出所有与$\angle DBA$相等的角__________(不添加任何线段);
(2)判断$AE$,$BE$,$BC$之间的数量关系并证明;
(3)如图,已知$AD = 7$,$BD = 3$,求$AB\cdot BC$的值.
答案:
解:
(1)∠DAC
(2)AE=BE+BC. 证明:如图,在线段EA上截取EP=BE.
∵BE=EP,DE⊥AB,
∴DE是BP的垂直平分线,
∴BD=DP,
∴∠DBP=
∠DPB.
∵点D是ABC的中点,
∴AD=CD,CD=AD.
∵∠DBP=∠ACD,
∴
∠DBP=∠DAC.
∵∠DPB=∠PDA+∠DAP,∠DAC=∠BAC+∠DAP,
∴∠PDA=∠BAC.
∵∠BAC=∠BDC,
∴∠BDC=∠PDA,
∴△BCD≌
△PAD(SAS),
∴BC=PA,
∴BC+BE=AP+EP,即AE=BE+BC.
(3)
∵DE⊥AB,
∴AD²=AE²+DE²,BD²=BE²+DE²,
∴AD²−BD²=AE²−BE²=(AE+BE)
(AE−BE)=AB.BC=7²−3²=40,
解:
(1)∠DAC
(2)AE=BE+BC. 证明:如图,在线段EA上截取EP=BE.
∵BE=EP,DE⊥AB,
∴DE是BP的垂直平分线,
∴BD=DP,
∴∠DBP=
∠DPB.
∵点D是ABC的中点,
∴AD=CD,CD=AD.
∵∠DBP=∠ACD,
∴
∵∠DPB=∠PDA+∠DAP,∠DAC=∠BAC+∠DAP,
∴∠PDA=∠BAC.
∵∠BAC=∠BDC,
∴∠BDC=∠PDA,
∴△BCD≌
△PAD(SAS),
∴BC=PA,
∴BC+BE=AP+EP,即AE=BE+BC.
(3)
∵DE⊥AB,
∴AD²=AE²+DE²,BD²=BE²+DE²,
∴AD²−BD²=AE²−BE²=(AE+BE)
(AE−BE)=AB.BC=7²−3²=40,
查看更多完整答案,请扫码查看