第71页
- 第1页
- 第2页
- 第3页
- 第4页
- 第5页
- 第6页
- 第7页
- 第8页
- 第9页
- 第10页
- 第11页
- 第12页
- 第13页
- 第14页
- 第15页
- 第16页
- 第17页
- 第18页
- 第19页
- 第20页
- 第21页
- 第22页
- 第23页
- 第24页
- 第25页
- 第26页
- 第27页
- 第28页
- 第29页
- 第30页
- 第31页
- 第32页
- 第33页
- 第34页
- 第35页
- 第36页
- 第37页
- 第38页
- 第39页
- 第40页
- 第41页
- 第42页
- 第43页
- 第44页
- 第45页
- 第46页
- 第47页
- 第48页
- 第49页
- 第50页
- 第51页
- 第52页
- 第53页
- 第54页
- 第55页
- 第56页
- 第57页
- 第58页
- 第59页
- 第60页
- 第61页
- 第62页
- 第63页
- 第64页
- 第65页
- 第66页
- 第67页
- 第68页
- 第69页
- 第70页
- 第71页
- 第72页
- 第73页
- 第74页
- 第75页
- 第76页
- 第77页
- 第78页
- 第79页
- 第80页
- 第81页
- 第82页
- 第83页
- 第84页
- 第85页
- 第86页
- 第87页
- 第88页
- 第89页
- 第90页
- 第91页
- 第92页
- 第93页
- 第94页
- 第95页
- 第96页
- 第97页
- 第98页
- 第99页
- 第100页
- 第101页
- 第102页
- 第103页
- 第104页
- 第105页
- 第106页
- 第107页
- 第108页
- 第109页
- 第110页
- 第111页
- 第112页
- 第113页
- 第114页
- 第115页
- 第116页
- 第117页
- 第118页
- 第119页
- 第120页
- 第121页
- 第122页
- 第123页
- 第124页
- 第125页
- 第126页
- 第127页
- 第128页
- 第129页
- 第130页
- 第131页
- 第132页
- 第133页
- 第134页
- 第135页
- 第136页
- 第137页
- 第138页
- 第139页
- 第140页
- 第141页
- 第142页
- 第143页
- 第144页
- 第145页
- 第146页
- 第147页
- 第148页
- 第149页
- 第150页
- 第151页
- 第152页
- 第153页
- 第154页
- 第155页
- 第156页
- 第157页
- 第158页
- 第159页
- 第160页
- 第161页
- 第162页
- 第163页
- 第164页
- 第165页
- 第166页
- 第167页
- 第168页
- 第169页
- 第170页
- 第171页
- 第172页
- 第173页
- 第174页
- 第175页
- 第176页
- 第177页
- 第178页
- 第179页
- 第180页
- 第181页
- 第182页
- 第183页
- 第184页
- 第185页
- 第186页
- 第187页
- 第188页
- 第189页
- 第190页
- 第191页
- 第192页
- 第193页
- 第194页
- 第195页
- 第196页
- 第197页
- 第198页
- 第199页
- 第200页
- 第201页
- 第202页
- 第203页
- 第204页
例2 如图,已知∠ABM=∠CDM=90°,∠1=∠2,BE与DF平行吗?为什么?

思路分析

解:BE//DF。理由如下:
因为∠ABM=∠CDM=90°,∠1=∠2,
所以∠ABM - ∠1=∠CDM - ∠2,即∠EBM=∠FDM,
所以BE//DF(同位角相等,两直线平行)。
思路分析
解:BE//DF。理由如下:
因为∠ABM=∠CDM=90°,∠1=∠2,
所以∠ABM - ∠1=∠CDM - ∠2,即∠EBM=∠FDM,
所以BE//DF(同位角相等,两直线平行)。
答案:
2 - 2 如图,已知∠B=30°,∠ADC=60°,DE平分∠ADC。试说明:DE//BC。

答案:
解:因为∠ADC = 60°,DE平分∠ADC,
所以∠ADE = $\frac{1}{2}$∠ADC = 30°。
因为∠B = 30°,所以∠ADE = ∠B。所以DE//BC。
所以∠ADE = $\frac{1}{2}$∠ADC = 30°。
因为∠B = 30°,所以∠ADE = ∠B。所以DE//BC。
3 - 1 如图,在方格纸中,有两条线段AB,BC。利用方格纸完成以下操作:
(1) 过点A作BC的平行线;
(2) 过点C作AB的平行线,与(1)中的平行线交于点D。

(1) 过点A作BC的平行线;
(2) 过点C作AB的平行线,与(1)中的平行线交于点D。
答案:
解:
(1)如图,AE即为所求。
(2)如图,CD就是所求与AB平行的直线。
解:
(1)如图,AE即为所求。
(2)如图,CD就是所求与AB平行的直线。
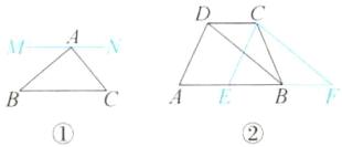
3 - 2 根据下列要求画图:
(1) 如图①,过点A画MN//BC;
(2) 如图②,过点C画CE//DA,交AB于点E,过点C画CF//DB,交AB的延长线于点F。

(1) 如图①,过点A画MN//BC;
(2) 如图②,过点C画CE//DA,交AB于点E,过点C画CF//DB,交AB的延长线于点F。
答案:
解:
(1)MN如图①所示。
(2)CE,CF如图②所示。
解:
(1)MN如图①所示。
(2)CE,CF如图②所示。
查看更多完整答案,请扫码查看