第46页
- 第1页
- 第2页
- 第3页
- 第4页
- 第5页
- 第6页
- 第7页
- 第8页
- 第9页
- 第10页
- 第11页
- 第12页
- 第13页
- 第14页
- 第15页
- 第16页
- 第17页
- 第18页
- 第19页
- 第20页
- 第21页
- 第22页
- 第23页
- 第24页
- 第25页
- 第26页
- 第27页
- 第28页
- 第29页
- 第30页
- 第31页
- 第32页
- 第33页
- 第34页
- 第35页
- 第36页
- 第37页
- 第38页
- 第39页
- 第40页
- 第41页
- 第42页
- 第43页
- 第44页
- 第45页
- 第46页
- 第47页
- 第48页
- 第49页
- 第50页
- 第51页
- 第52页
- 第53页
- 第54页
- 第55页
- 第56页
- 第57页
- 第58页
- 第59页
- 第60页
- 第61页
- 第62页
- 第63页
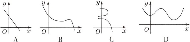
3. 下列各图象中不能表示$y$是$x$的函数的是( )

答案:
C 解析:用平行于y轴的直线截各曲线,当直线与曲线有两个或两个以上的公共点
时,说明对于x的每一个值,y不是有唯一确定的值与其对应,即y不是x的函数.C选项中y轴与曲线有三个公共点,故选
4. 图19-1-4反映的过程是:小强先从家去菜地浇水,再去玉米地除草,最后回家. 如果菜地和玉米地的距离为$a km$,小强在玉米地除草比在菜地浇水多用的时间为$b min$,那么$a$,$b$的值分别为( )

A. $1.1$,$8$
B. $0.9$,$3$
C. $1.1$,$12$
D. $0.9$,$8$
A. $1.1$,$8$
B. $0.9$,$3$
C. $1.1$,$12$
D. $0.9$,$8$
答案:
D 解析:此函数的图象大致可分以下几个阶段:
①0~15 min,小强从家走到菜地;
②15~25 min,小强在菜地浇水;
③25~37 min,小强从菜地走到玉米地;
④37~55 min,小强在玉米地除草;
⑤55~80 min,小强从玉米地回到家,
由③的过程,知a=2-1.1=0.9;
由②④的过程,知6=(55-37)-(25-15)=8.
5. (1)画出函数$y = x + 1$的图象;
(2)试判断点$(-3,-2)$是否在该函数图象上.
(2)试判断点$(-3,-2)$是否在该函数图象上.
答案:
解:
(1)列表:
描点并连线,如图D-19-1示.

(2)将x=-3代人y=x+1,得y=-2,所以点(-3,-2)在函数y=x+1的图象上,
解:
(1)列表:
描点并连线,如图D-19-1示.
(2)将x=-3代人y=x+1,得y=-2,所以点(-3,-2)在函数y=x+1的图象上,
1. 如图19-1-5①所示,在矩形$MNPQ$中,动点$R$从点$N$处出发,沿$N→P→Q→M$方向运动至点$M$处停止. 设点$R$运动的路程为$x$,$\triangle MNR$的面积为$y$,若$y$关于$x$的函数图象如图19-1-5②所示,则当$x = 9$时,点$R$应运动到( )

A. 点$N$处
B. 点$P$处
C. 点$Q$处
D. 点$M$处
A. 点$N$处
B. 点$P$处
C. 点$Q$处
D. 点$M$处
答案:
C
解析:当动点R在NP上运动时AMNR的面积越来越大;在PQ上运动时AMNR的面积不变;在QM上运动时AMNR的面积越来越小,直到零.因此点处是AMNR的面积开始减小的点.故选C
2. 如图19-1-6所示,射线$l_{甲}$,$l_{乙}$分别表示甲、乙两名运动员在自行车比赛中所走路程与时间的函数关系,则他们行进的速度关系是( )

A. 甲比乙快
B. 乙比甲快
C. 甲、乙同速
D. 不一定
A. 甲比乙快
B. 乙比甲快
C. 甲、乙同速
D. 不一定
答案:
A
3. 某运输公司的一艘轮船在长江上航行,往返于万州、朝天门两地. 假设轮船在静水中的速度不变,长江的水流速度不变,该轮船从万州出发,逆水航行到朝天门,停留一段时间(卸货、装货、加燃料等),又顺水航行返回万州,若该轮船从万州出发后所用的时间为$x(h)$,轮船距万州的距离为$y(km)$,则下列各图中,能够反映$y$与$x$之间函数关系的大致图象是( )

答案:
C
解析:由题意知,轮船距万州的距离变化情况是:均匀变大→不变一均匀减小,而顺水航行时的速度要比逆水航行时的速度大(即单位时间内航行的距离大),所以顺水航行时的图象比逆水航行时的图象更陡,
4. 一位记者乘汽车去农村采访,全程$360 km$,前一部分为高速公路,后一部分为乡村公路. 若汽车在高速公路和乡村公路上分别以某一速度匀速行驶,汽车行驶的路程$y(km)$与时间$x(h)$之间的关系如图19-1-7所示,则下列结论正确的是( )

A. 汽车在高速公路上的行驶速度为$100 km/h$
B. 乡村公路总长为$90 km$
C. 汽车在乡村公路上的行驶速度为$60 km/h$
D. 该记者在出发后$4.5 h$到达采访地
A. 汽车在高速公路上的行驶速度为$100 km/h$
B. 乡村公路总长为$90 km$
C. 汽车在乡村公路上的行驶速度为$60 km/h$
D. 该记者在出发后$4.5 h$到达采访地
答案:
=60(km/h).记者在出发后2+
=5(h)到达采访地.所以选C
C 解析:汽车在高速公路上的行驶速度为
=90(km/h);
乡村公路总长为360-180=180(km);270-180汽车在乡村公路上的行驶速度为
查看更多完整答案,请扫码查看