第45页
- 第1页
- 第2页
- 第3页
- 第4页
- 第5页
- 第6页
- 第7页
- 第8页
- 第9页
- 第10页
- 第11页
- 第12页
- 第13页
- 第14页
- 第15页
- 第16页
- 第17页
- 第18页
- 第19页
- 第20页
- 第21页
- 第22页
- 第23页
- 第24页
- 第25页
- 第26页
- 第27页
- 第28页
- 第29页
- 第30页
- 第31页
- 第32页
- 第33页
- 第34页
- 第35页
- 第36页
- 第37页
- 第38页
- 第39页
- 第40页
- 第41页
- 第42页
- 第43页
- 第44页
- 第45页
- 第46页
- 第47页
- 第48页
- 第49页
- 第50页
- 第51页
- 第52页
- 第53页
- 第54页
- 第55页
- 第56页
- 第57页
- 第58页
- 第59页
- 第60页
- 第61页
- 第62页
- 第63页
- 第64页
- 第65页
- 第66页
- 第67页
- 第68页
- 第69页
- 第70页
- 第71页
- 第72页
- 第73页
- 第74页
- 第75页
- 第76页
- 第77页
- 第78页
- 第79页
- 第80页
- 第81页
- 第82页
- 第83页
- 第84页
- 第85页
- 第86页
- 第87页
- 第88页
- 第89页
- 第90页
- 第91页
- 第92页
- 第93页
- 第94页
- 第95页
- 第96页
- 第97页
- 第98页
- 第99页
- 第100页
- 第101页
- 第102页
- 第103页
- 第104页
- 第105页
- 第106页
- 第107页
- 第108页
15.[新独家原创]若x - 2024的立方根和算术平方根都等于它本身,则x =________.(M7208001)
答案:
15答案 2025或2024
解析 立方根等于本身的数是0,-1,1,算术平方根等于本身的数是0,1,
所以x - 2024 = 1或x - 2024 = 0,
解得x = 2025或x = 2024.
解析 立方根等于本身的数是0,-1,1,算术平方根等于本身的数是0,1,
所以x - 2024 = 1或x - 2024 = 0,
解得x = 2025或x = 2024.
16.(2023山东滨州阳信期中改编)观察$:\sqrt{0.06137}≈0.2477,\sqrt{6.137}≈2.477,\sqrt[3]{6.137}≈1.8308,\sqrt[3]{6137}≈18.308.$推测:若$\sqrt[3]{x}≈0.18308,$则x≈________.
答案:
16答案 0.006137
解析
∵$\sqrt[3]{6.137}$≈1.8308,$\sqrt[3]{x}$≈0.18308,
∴x≈0.006137.
解析
∵$\sqrt[3]{6.137}$≈1.8308,$\sqrt[3]{x}$≈0.18308,
∴x≈0.006137.
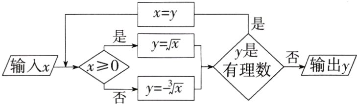
17.跨信息科技.计算程序如图所示的是小明用计算机设计的计算小程序,当输入的x的值为 - 64时,输出的y的值是________.

答案:
17答案 $\sqrt{2}$
解析 当输入的x的值为 - 64时,y = -$\sqrt[3]{-64}$ = 4,4是有理数;y = $\sqrt{4}$ = 2,2是有理数;y = $\sqrt{2}$,$\sqrt{2}$不是有理数,输出.
∴当输入的x的值为 - 64时,输出的y的值是$\sqrt{2}$.
解析 当输入的x的值为 - 64时,y = -$\sqrt[3]{-64}$ = 4,4是有理数;y = $\sqrt{4}$ = 2,2是有理数;y = $\sqrt{2}$,$\sqrt{2}$不是有理数,输出.
∴当输入的x的值为 - 64时,输出的y的值是$\sqrt{2}$.
18.(2023河北邯郸期中)如图,数轴上从左到右依次有D,C,A,B四点,点A,B分别表示1和$\sqrt{2},$点C到点D的距离与点B到点A的距离相等,设点C表示的数为x.
(1)当D表示的数为0时,x的值是________.
(2)当D表示的数为$ - 2\sqrt{2}$时
①x的值是________;
②若m为x - 2的相反数,n为x + 2的绝对值,则m - n的值为________.

(1)当D表示的数为0时,x的值是________.
(2)当D表示的数为$ - 2\sqrt{2}$时
①x的值是________;
②若m为x - 2的相反数,n为x + 2的绝对值,则m - n的值为________.
答案:
18答案
(1)$\sqrt{2}$ - 1
(2)① - $\sqrt{2}$ - 1;②4
解析
(1)由题意可得,x - 0 = $\sqrt{2}$ - 1,
∴x = $\sqrt{2}$ - 1.
(2)①由题意可得,x - (-2$\sqrt{2}$) = $\sqrt{2}$ - 1,解得x = - $\sqrt{2}$ - 1.
②
∵x = - $\sqrt{2}$ - 1,m为x - 2的相反数,n为x + 2的绝对值,
∴m = 2 - (-$\sqrt{2}$ - 1)=3 + $\sqrt{2}$,n = |(-$\sqrt{2}$ - 1)+2| = $\sqrt{2}$ - 1,
∴m - n = 3 + $\sqrt{2}$ - ($\sqrt{2}$ - 1)=4.
(1)$\sqrt{2}$ - 1
(2)① - $\sqrt{2}$ - 1;②4
解析
(1)由题意可得,x - 0 = $\sqrt{2}$ - 1,
∴x = $\sqrt{2}$ - 1.
(2)①由题意可得,x - (-2$\sqrt{2}$) = $\sqrt{2}$ - 1,解得x = - $\sqrt{2}$ - 1.
②
∵x = - $\sqrt{2}$ - 1,m为x - 2的相反数,n为x + 2的绝对值,
∴m = 2 - (-$\sqrt{2}$ - 1)=3 + $\sqrt{2}$,n = |(-$\sqrt{2}$ - 1)+2| = $\sqrt{2}$ - 1,
∴m - n = 3 + $\sqrt{2}$ - ($\sqrt{2}$ - 1)=4.
三、解答题(共40分)
19.(2024江西赣州于都期中)(6分)课堂上,老师让同学们从下列数中找一个无理数$:-\frac{22}{7},-\sqrt{2},\vert -\frac{1}{2}\vert,0,2\pi,-\sqrt[3]{8}.$甲找的数是$-\frac{22}{7},$乙找的数是$-\sqrt{2},$丙找的数是$2\pi.(M7208002)$
(1)甲、乙、丙三个人中,找错的是________.
(2)请将老师所给的数按要求填入相应的区域内.
正实数 负实数
... ...

19.(2024江西赣州于都期中)(6分)课堂上,老师让同学们从下列数中找一个无理数$:-\frac{22}{7},-\sqrt{2},\vert -\frac{1}{2}\vert,0,2\pi,-\sqrt[3]{8}.$甲找的数是$-\frac{22}{7},$乙找的数是$-\sqrt{2},$丙找的数是$2\pi.(M7208002)$
(1)甲、乙、丙三个人中,找错的是________.
(2)请将老师所给的数按要求填入相应的区域内.
正实数 负实数
... ...
答案:
19解析
(1)甲.
(2)将$\left|-\frac{1}{2}\right|$,$2\pi$填入正实数的区域内.
将$-\frac{22}{7}$,$-\sqrt{2}$,$-\sqrt[3]{8}$填入负实数的区域内.
(1)甲.
(2)将$\left|-\frac{1}{2}\right|$,$2\pi$填入正实数的区域内.
将$-\frac{22}{7}$,$-\sqrt{2}$,$-\sqrt[3]{8}$填入负实数的区域内.
20.(2024重庆渝中期末)(6分)计算:(M7208003)
$(1)\sqrt{(-4)^2}-\sqrt[3]{-27}+\vert 1 - \sqrt{2}\vert.$
$(2)\sqrt{2\frac{1}{4}}+\sqrt{3}\times(\sqrt{3}-\frac{1}{\sqrt{3}}).$
$(1)\sqrt{(-4)^2}-\sqrt[3]{-27}+\vert 1 - \sqrt{2}\vert.$
$(2)\sqrt{2\frac{1}{4}}+\sqrt{3}\times(\sqrt{3}-\frac{1}{\sqrt{3}}).$
答案:
20解析
(1)$\sqrt{(-4)^2}$ - $\sqrt[3]{-27}$ + |1 - $\sqrt{2}$|
= 4 - (-3) + $\sqrt{2}$ - 1 = 4 + 3 + $\sqrt{2}$ - 1 = 6 + $\sqrt{2}$.
(2)$\sqrt{2\frac{1}{4}}$ + $\sqrt{3}$×($\sqrt{3}$ - $\frac{1}{\sqrt{3}}$)
=$\frac{3}{2}$ + 3 - 1 = $\frac{7}{2}$.
(1)$\sqrt{(-4)^2}$ - $\sqrt[3]{-27}$ + |1 - $\sqrt{2}$|
= 4 - (-3) + $\sqrt{2}$ - 1 = 4 + 3 + $\sqrt{2}$ - 1 = 6 + $\sqrt{2}$.
(2)$\sqrt{2\frac{1}{4}}$ + $\sqrt{3}$×($\sqrt{3}$ - $\frac{1}{\sqrt{3}}$)
=$\frac{3}{2}$ + 3 - 1 = $\frac{7}{2}$.
21.(2023山东聊城期中)(6分)求下列各式中x的值.(M7208001)
(1)4x² - 3 = 6.
(2)2(x + 1)³ + 16 = 0.
(1)4x² - 3 = 6.
(2)2(x + 1)³ + 16 = 0.
答案:
21解析
(1)移项,得4x² = 6 + 3,
合并同类项,得4x² = 9,
系数化为1,得x² = $\frac{9}{4}$,
开平方,得x = ±$\sqrt{\frac{9}{4}}$,解得x = $\frac{3}{2}$或x = -$\frac{3}{2}$.
(2)
∵2(x + 1)³ + 16 = 0,
∴2(x + 1)³ = -16,
∴(x + 1)³ = -8,
∴x + 1 = $\sqrt[3]{-8}$ = -2,解得x = -3.
(1)移项,得4x² = 6 + 3,
合并同类项,得4x² = 9,
系数化为1,得x² = $\frac{9}{4}$,
开平方,得x = ±$\sqrt{\frac{9}{4}}$,解得x = $\frac{3}{2}$或x = -$\frac{3}{2}$.
(2)
∵2(x + 1)³ + 16 = 0,
∴2(x + 1)³ = -16,
∴(x + 1)³ = -8,
∴x + 1 = $\sqrt[3]{-8}$ = -2,解得x = -3.
查看更多完整答案,请扫码查看