第29页
- 第1页
- 第2页
- 第3页
- 第4页
- 第5页
- 第6页
- 第7页
- 第8页
- 第9页
- 第10页
- 第11页
- 第12页
- 第13页
- 第14页
- 第15页
- 第16页
- 第17页
- 第18页
- 第19页
- 第20页
- 第21页
- 第22页
- 第23页
- 第24页
- 第25页
- 第26页
- 第27页
- 第28页
- 第29页
- 第30页
- 第31页
- 第32页
- 第33页
- 第34页
- 第35页
- 第36页
- 第37页
- 第38页
- 第39页
- 第40页
- 第41页
- 第42页
- 第43页
- 第44页
- 第45页
- 第46页
- 第47页
- 第48页
- 第49页
- 第50页
- 第51页
- 第52页
- 第53页
- 第54页
- 第55页
- 第56页
- 第57页
- 第58页
- 第59页
- 第60页
- 第61页
- 第62页
- 第63页
- 第64页
- 第65页
- 第66页
- 第67页
- 第68页
- 第69页
- 第70页
- 第71页
- 第72页
- 第73页
- 第74页
- 第75页
- 第76页
- 第77页
- 第78页
- 第79页
- 第80页
- 第81页
- 第82页
- 第83页
- 第84页
- 第85页
- 第86页
- 第87页
- 第88页
- 第89页
- 第90页
- 第91页
- 第92页
- 第93页
- 第94页
- 第95页
- 第96页
- 第97页
- 第98页
- 第99页
- 第100页
- 第101页
- 第102页
- 第103页
- 第104页
- 第105页
- 第106页
- 第107页
- 第108页
一、选择题(每小题3分,共36分)
答案:
1. 情境题·现实生活(2024广东徐闻期中)下列工具中,有对顶角的是(M7207001)( )
A.
B.
C.
D.
A.
B.
C.
D.
答案:
1C根据对顶角的定义可知选C.
2. (2024河南禹州期中)水是生命之源,滋润着世间万物. 国家节水标志由水滴、手掌和地球变形而成,寓意节水,表示节水需要公众参与. 以下可以通过平移国家节水标志得到的图形是(M7207008)( )
国家节水标志
A.
B.
C.
D.
国家节水标志
A.
B.
C.
D.
答案:
2CC选项中的图形通过平移能与题图重合.故选C.
3. (2023广东佛山禅城期中)如图,下列说法不正确的是(M7207003)( )
A. ∠1与∠2是同位角
B. ∠2与∠3是同位角
C. ∠1与∠4是内错角
D. ∠2与∠4是同旁内角

A. ∠1与∠2是同位角
B. ∠2与∠3是同位角
C. ∠1与∠4是内错角
D. ∠2与∠4是同旁内角
答案:
3D∠1和∠2是同位角;∠2和∠3是同位角;∠1和∠4是内错角;∠2和∠4不是同旁内角.故选D.
4. (2023江苏苏州中考)如图,在正方形网格内,线段PQ的两个端点都在格点上,网格内另有A,B,C,D四个格点,下面四个结论中,正确的是(M7207004)( )
A. 连接AB,则AB//PQ
B. 连接BC,则BC//PQ
C. 连接BD,则BD⊥PQ
D. 连接AD,则AD⊥PQ
A. 连接AB,则AB//PQ
B. 连接BC,则BC//PQ
C. 连接BD,则BD⊥PQ
D. 连接AD,则AD⊥PQ
答案:
4B按各选项连线段,易知B选项正确.
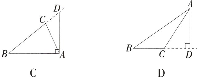
5. (2024湖北恩施州模拟)下列图形中,线段AD的长表示点A到直线BC的距离的是(M7207002)( )
A.
B.
C.
D.
A.
B.
C.
D.
答案:
5DD中线段AD的长表示点A到直线BC的距离,故选D.
6. 下列命题:①不相交的两条直线是平行线;②同旁内角互补;③同位角相等,两直线平行;④如果α与β都是γ的邻补角,那么α与β一定相等;⑤在同一平面内,若a⊥b,b⊥c,则a⊥c. 其中,真命题的个数是(M7207007)( )
A. 4
B. 3
C. 2
D. 1
A. 4
B. 3
C. 2
D. 1
答案:
6C①缺少“在同一平面内”的条件,①是假命题;②缺少“两直线平行”的条件,②是假命题;③同位角相等,两直线平行,③是真命题;④如果α与β都是γ的邻补角,那么α+γ=180°,β+γ=180°,则α=β,④是真命题;⑤在同一平面内,若a⊥b,b⊥c,则a//c,⑤是假命题.所以真命题有2个,故选C.
7. (2024河南郑州金水期末)如图,下列选项中,添加后能判定AD//BE的是(M7207005)( )

A. ∠1=∠3
B. ∠B=∠4
C. ∠D=∠5
D. ∠2=∠E
A. ∠1=∠3
B. ∠B=∠4
C. ∠D=∠5
D. ∠2=∠E
答案:
7DA.添加∠1=∠3,能判定AB//CD,不能判定AD//BE,故A不符合题意;
B.添加∠B=∠4,能判定AB//CD,不能判定AD//BE,故B不符合题意;
C.添加∠D=∠5,不能判定AD//BE,故C不符合题意;
D.添加∠2=∠E,能判定AD//BE,故D符合题意.故选D.
B.添加∠B=∠4,能判定AB//CD,不能判定AD//BE,故B不符合题意;
C.添加∠D=∠5,不能判定AD//BE,故C不符合题意;
D.添加∠2=∠E,能判定AD//BE,故D符合题意.故选D.
查看更多完整答案,请扫码查看