第310页
- 第303页
- 第304页
- 第305页
- 第306页
- 第307页
- 第308页
- 第309页
- 第310页
- 第311页
- 第312页
- 第313页
- 第314页
- 第315页
- 第316页
- 第317页
- 第318页
- 第319页
- 第320页
- 第321页
- 第322页
- 第323页
- 第324页
- 第325页
- 第326页
- 第327页
- 第328页
- 第329页
- 第330页
- 第331页
- 第332页
- 第333页
- 第334页
- 第335页
- 第336页
- 第337页
- 第338页
- 第339页
- 第340页
- 第341页
- 第342页
- 第343页
- 第344页
- 第345页
- 第346页
- 第347页
- 第348页
- 第349页
- 第350页
- 第351页
- 第352页
- 第353页
- 第354页
- 第355页
- 第356页
- 第357页
- 第358页
- 第359页
- 第360页
- 第361页
- 第362页
- 第363页
- 第364页
- 第365页
- 第366页
- 第367页
- 第368页
- 第369页
- 第370页
- 第371页
- 第372页
- 第373页
- 第374页
- 第375页
- 第376页
- 第377页
- 第378页
- 第379页
- 第380页
- 第381页
- 第382页
- 第383页
- 第384页
- 第385页
- 第386页
- 第387页
- 第388页
- 第389页
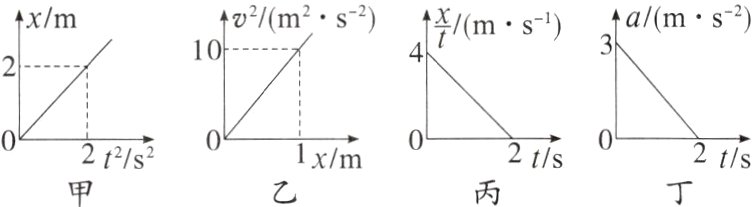
8. 利用图像法研究物理量之间的关系是一种常用的方法。物体做直线运动时各物理量之间的关系图像(x、v、a、t分别表示物体的位移、速度、加速度和时间)如图所示,则下列说法正确的是( )
A. 甲图中x - t²图像可求出物体的加速度大小为1 m/s²
B. 乙图中v² - x图像可求出物体的加速度大小为5 m/s²
C. 丙图中$\frac{x}{t}-t$图像可求出物体的加速度大小为2 m/s²
D. 丁图中a - t图像可求出物体在前2 s内的速度变化量大小为6 m/s
A. 甲图中x - t²图像可求出物体的加速度大小为1 m/s²
B. 乙图中v² - x图像可求出物体的加速度大小为5 m/s²
C. 丙图中$\frac{x}{t}-t$图像可求出物体的加速度大小为2 m/s²
D. 丁图中a - t图像可求出物体在前2 s内的速度变化量大小为6 m/s
答案:
B 解析 根据匀变速直线运动的位移与时间关系 $x = v_{0}t+\frac{1}{2}at^{2}$,及甲图中 $x - t^{2}$图像为正比关系图线,可知 $\frac{1}{2}a=\frac{2}{2}m/s^{2}$,解得物体的加速度大小 $a = 2m/s^{2}$,A错误;根据匀变速直线运动的速度与位移关系 $v^{2}-v_{0}^{2}=2ax$,及乙图中 $v^{2}-x$图像为正比关系图线,可知 $2a = 10m/s^{2}$,解得物体的加速度大小 $a = 5m/s^{2}$,B正确;根据匀变速直线运动的位移与时间关系 $x = v_{0}t+\frac{1}{2}at^{2}$,整理得 $\frac{x}{t}=v_{0}+\frac{1}{2}at$,由丙图中 $\frac{x}{t}-t$图像为一次函数关系图线,可知 $\frac{1}{2}a=\frac{0 - 4}{2}m/s^{2}=-2m/s^{2}$,解得 $a=-4m/s^{2}$,所以物体的加速度大小为 $4m/s^{2}$,C错误;$a - t$图像的图线与坐标轴所围成的面积表示这段时间内物体的速度变化量,则丁图中 $a - t$图可求出物体在前2s内的速度变化量大小 $\Delta v=\frac{1}{2}\times3\times2m/s = 3m/s$,D错误。
9. (多选)如图为某同学通过传感器测得的甲、乙两物体的运动图像,横轴为时间,纵轴忘记标记。已知甲图两部分均为抛物线,且t = 0与t = 1 s分别为开口向上和开口向下的抛物线的顶点。下列说法正确的是( )
A. 若图像为位移—时间图像,甲物体0~1 s内和1~2 s内加速度大小相等
B. 若图像为位移—时间图像,0~1 s内乙物体平均速度大于甲物体平均速度
C. 若图像为速度—时间图像,0~2 s内乙物体平均速度为甲物体平均速度的两倍
D. 若图像为速度—时间图像,两物体一定在t = 1 s时刻相遇
A. 若图像为位移—时间图像,甲物体0~1 s内和1~2 s内加速度大小相等
B. 若图像为位移—时间图像,0~1 s内乙物体平均速度大于甲物体平均速度
C. 若图像为速度—时间图像,0~2 s内乙物体平均速度为甲物体平均速度的两倍
D. 若图像为速度—时间图像,两物体一定在t = 1 s时刻相遇
答案:
AC 解析 若图像为位移—时间图像,0~1s内甲物体做匀加速直线运动,有 $x=\frac{1}{2}at^{2}$,1~2s内做反向匀加速直线运动,两个过程位移大小相等,时间相同,加速度大小相等,选项A正确;若图像为位移—时间图像,0~1s内乙物体的位移和甲物体的位移相等,两者平均速度相等,选项B错误;若图像为速度—时间图像,根据图像与坐标轴所围面积的大小关系可知,0~2s内乙物体的位移是甲物体位移的两倍,则乙物体平均速度为甲物体平均速度的两倍,选项C正确;若图像为速度—时间图像,乙图像与坐标轴所围面积比甲的大,且两物体的初始位置不确定,所以两物体不一定在 $t = 1s$时刻相遇,选项D错误。
10. 根据机动车的运动情况,绘制如图所示的$\frac{x}{t^2}-\frac{1}{t}$图像,已知其在水平路面沿直线行驶,规定初速度v₀的方向为正方向,运动过程中所受阻力恒定。以下说法正确的是( )
A. 机动车匀加速运动
B. 机动车的初速度为0
C. 机动车的加速度为8 m/s²
D. 机动车在前3 s内的位移是25 m
A. 机动车匀加速运动
B. 机动车的初速度为0
C. 机动车的加速度为8 m/s²
D. 机动车在前3 s内的位移是25 m
答案:
D 解析 由 $x = v_{0}t+\frac{1}{2}at^{2}$变形可得 $\frac{x}{t^{2}}=v_{0}\cdot\frac{1}{t}+\frac{1}{2}a$,由截距知 $\frac{1}{2}a=-4m/s^{2}$,解得机动车的加速度 $a=-8m/s^{2}$,由于机动车的加速度为负值,因此机动车做匀减速运动,由斜率知 $v_{0}=\frac{4}{0.2}m/s = 20m/s$,故A、B、C错误;机动车速度变为零所需时间为 $t=\frac{0 - v_{0}}{a}=2.5s$,因此3s末机动车已静止,其在前3s内的位移是 $x=\frac{0 - v_{0}^{2}}{2a}=25m$,故D正确。
11. (2023河北石家庄质检)某品牌汽车在测试场进行直线行驶性能测试,测试车内所装加速度传感器记录的数据经简化处理后,得到加速度a随时间t的变化关系如图所示,已知该测试车由静止开始运动,则关于测试车的说法正确的是( )
A. 0~8 s内先加速运动然后匀速运动最后减速运动
B. 2 s末和7 s末的加速度方向相反
C. 8 s末的速度大小为24 m/s
D. 0~8 s内的平均加速度大小为5 m/s²
A. 0~8 s内先加速运动然后匀速运动最后减速运动
B. 2 s末和7 s末的加速度方向相反
C. 8 s末的速度大小为24 m/s
D. 0~8 s内的平均加速度大小为5 m/s²
答案:
D 解析 根据 $a - t$图像可知0~4s内汽车做加速度逐渐增大的加速直线运动,4~6s内汽车做匀加速直线运动,6~8s内汽车做加速度逐渐减小的加速直线运动,即0~8s内汽车都在做加速运动,选项A错误;0~8s内整个 $a - t$图线均在时间轴的上方,虽然加速度的大小在变化,但加速度的方向没有改变,选项B错误;设8s末的瞬时速度为 $v$,$a - t$图线与时间轴所围成的梯形面积表示速度变化量,即 $\Delta v = v - 0=\frac{1}{2}\times8\times(2 + 8)m/s = 40m/s$,解得 $v = 40m/s$,选项C错误;0~8s内的平均加速度大小 $\overline{a}=\frac{\Delta v}{\Delta t}=\frac{40}{8}m/s^{2}=5m/s^{2}$,选项D正确。
12. (多选)(2024广东模拟)图像能够直观描述物理过程,能形象表述物理规律,能有效处理实验数据。下列为物体做直线运动的图像,关于图像说法正确的是( )
A. 甲图中,物体在0~t₀这段时间内的位移大于$\frac{1}{2}v_0t_0$
B. 乙图中,物体的加速度为2 m/s²
C. 丙图中,阴影面积表示t₁~t₂时间内物体的加速度变化量
D. 丁图中,t = 3 s时物体的速度为25 m/s
A. 甲图中,物体在0~t₀这段时间内的位移大于$\frac{1}{2}v_0t_0$
B. 乙图中,物体的加速度为2 m/s²
C. 丙图中,阴影面积表示t₁~t₂时间内物体的加速度变化量
D. 丁图中,t = 3 s时物体的速度为25 m/s
答案:
AD 解析 由 $v - t$图线与时间轴围成的面积表示位移可知,甲图中物体在0~$t_{0}$这段时间内的位移大于 $\frac{1}{2}v_{0}t_{0}$,故A正确;根据 $v^{2}=2ax$,可知乙图中 $2a = 1m/s^{2}$,则物体的加速度为 $a = 0.5m/s^{2}$,故B错误;根据 $\Delta v = at$可知,丙图中阴影部分的面积表示 $t_{1}$~$t_{2}$时间内物体的速度变化量,故C错误;由 $x = v_{0}t+\frac{1}{2}at^{2}$可得 $\frac{x}{t}=v_{0}+\frac{1}{2}at$,结合丁图可知 $v_{0}=-5m/s$,$\frac{1}{2}a=\frac{10}{2}m/s^{2}=5m/s^{2}$,即 $a = 10m/s^{2}$,则 $t = 3s$时物体的速度为 $v_{3}=(-5 + 10\times3)m/s = 25m/s$,故D正确。
查看更多完整答案,请扫码查看