第32页
- 第1页
- 第2页
- 第3页
- 第4页
- 第5页
- 第6页
- 第7页
- 第8页
- 第9页
- 第10页
- 第11页
- 第12页
- 第13页
- 第14页
- 第15页
- 第16页
- 第17页
- 第18页
- 第19页
- 第20页
- 第21页
- 第22页
- 第23页
- 第24页
- 第25页
- 第26页
- 第27页
- 第28页
- 第29页
- 第30页
- 第31页
- 第32页
- 第33页
- 第34页
- 第35页
- 第36页
- 第37页
- 第38页
- 第39页
- 第40页
- 第41页
- 第42页
- 第43页
- 第44页
- 第45页
- 第46页
- 第47页
- 第48页
- 第49页
- 第50页
- 第51页
- 第52页
- 第53页
- 第54页
- 第55页
- 第56页
- 第57页
- 第58页
- 第59页
- 第60页
- 第61页
- 第62页
- 第63页
- 第64页
- 第65页
- 第66页
- 第67页
- 第68页
- 第69页
- 第70页
- 第71页
- 第72页
- 第73页
- 第74页
- 第75页
- 第76页
- 第77页
- 第78页
- 第79页
- 第80页
4. 二次函数$y= -x^{2}+bx+c的图象的最高点是(-1,-3)$,则$b,c$的值是( )
A.$b= 2,c= 4$
B.$b= 2,c= -4$
C.$b= -2,c= 4$
D.$b= -2,c= -4$
A.$b= 2,c= 4$
B.$b= 2,c= -4$
C.$b= -2,c= 4$
D.$b= -2,c= -4$
答案:
D
5. 已知抛物线$y= ax^{2}+bx+c(a≠0)$在平面直角坐标系中的位置如图2所示,则下列结论中正确的是( )

A.$a>0$
B.$b<0$
C.$c<0$
D.$a+b+c>0$
A.$a>0$
B.$b<0$
C.$c<0$
D.$a+b+c>0$
答案:
D
1. 抛物线$y= -2x^{2}+6x-1$的顶点坐标为______,对称轴为______.
答案:
2. 已知二次函数$y= \dfrac{1}{4}x^{2}-\dfrac{5}{2}x+6$,当$x= $______时,$y_{最小}= $______;当$x$______时,$y随x$的增大而减小.
答案:
5
$-\frac 1 4$
<5
$-\frac 1 4$
<5
3. 二次函数$y= ax^{2}+bx+c$的图象如图3所示,则$ac$______0(填“>”“<”或“=”).


答案:
<
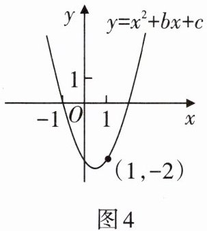
4. 如图4,已知二次函数$y= x^{2}+bx+c的图象经过点(-1,0),(1,-2)$,当$y随x$的增大而增大时,$x$的取值范围是______.
答案:
$x>\frac 1 2$
5. 已知二次函数$y= ax^{2}+2ax+c$($a、c$为常数,$a≠0$)的最大值为2,写出一组符合条件的$a和c$的值:______.
答案:
a=-1,c=1
1. 用配方法把下列二次函数化为$y= a(x-h)^{2}+k$的形式:
(1)$y= x^{2}-8x+10$;
(2)$y= -3x^{2}+2x-1$;
(3)$y= ax^{2}+bx+c$.
(1)$y= x^{2}-8x+10$;
(2)$y= -3x^{2}+2x-1$;
(3)$y= ax^{2}+bx+c$.
答案:
解:y={(x-4)}^{2}-6
解:$y=-3{(x-\frac 1 3)}^{2}-\frac 2 3$
解:$y=a{(x+\frac b {2a})}^{2}+\frac {4ac-b^{2}}{4a}$
$(-\frac b {2a},$$\frac {4ac-{b}^2}{4a})$
解:$y=-3{(x-\frac 1 3)}^{2}-\frac 2 3$
解:$y=a{(x+\frac b {2a})}^{2}+\frac {4ac-b^{2}}{4a}$
$(-\frac b {2a},$$\frac {4ac-{b}^2}{4a})$
查看更多完整答案,请扫码查看