2025年期末直通车六年级数学上册人教版


注:目前有些书本章节名称可能整理的还不是很完善,但都是按照顺序排列的,请同学们按照顺序仔细查找。练习册 2025年期末直通车六年级数学上册人教版 答案主要是用来给同学们做完题方便对答案用的,请勿直接抄袭。



《2025年期末直通车六年级数学上册人教版》

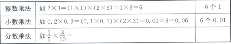
1. (2025·杭州临安)小明把整数、小数和分数乘法做了比较研究,发现都可以用计数单位来进行关联。请根据小明的思路,把表中“分数乘法”的计算过程补充完整。
答案: $1.(\frac{1}{5} × \frac{1}{10}) × (1 × 3)=\frac{1}{50} × 3=\frac{3}{50}$
2. (2024·湖州吴兴)( )千克是36千克的$\frac{2}{3}$,70吨比80吨少$\frac{($
$)}{($
$)}$。
答案: $2.24 \frac{1}{8}$
3. (2025·杭州余杭)在$〇$里填上“$>$”“$<$”或“$=$”。
$\frac{6}{7}×\frac{9}{8}〇\frac{6}{7}$ $\frac{7}{8}×\frac{6}{5}〇\frac{7}{8}×\frac{5}{6}$ $A×\frac{1}{9}〇A(A>0)$
答案: 3.> > <
4. (2024·温州龙湾)阳光小学举行绘画活动,四年级共制作12幅作品,五年级的作品数量是四年级的$\frac{5}{6}$,六年级的作品数量是五年级的$\frac{7}{5}$。六年级共制作( )幅作品。
答案: 4.14
5. (2024·湖州吴兴)如右图,李伯伯有一块长方形菜地,他打算在阴影部分种植黄瓜,黄瓜面积占整块菜地面积的( ),是( )$m^{2}$。
答案: $5.\frac{2}{5}$
6. (2024·杭州萧山)小明一家都很喜欢吃糍粑,小明吃了$\frac{1}{5}$千克的糍粑,妈妈比小明多吃了$\frac{1}{8}$,爸爸比小明多吃了$\frac{1}{8}$千克,妈妈吃了( )千克,爸爸吃了( )千克。
答案: $6.\frac{9}{40} \frac{13}{40}$
7. (2025·文成)有一本105页的故事书,小洁第一天看了全书的$\frac{3}{7}$,第二天看了全书的$\frac{1}{3}$,第一天比第二天多看了全书的$\frac{($
$)}{($
$)}$。
答案: $7.\frac{2}{21}$
8. (2024·温州瓯海)一个蔬菜大棚的面积是480$m^{2}$,其中$\frac{1}{2}$种各种萝卜,红萝卜地的面积占萝卜地的$\frac{1}{4}$。小红列了一个算式:$480×(\frac{1}{2}×\frac{1}{4})$,算式$\frac{1}{2}×\frac{1}{4}$表示( )的面积占( )的几分之几。
答案: 8.红萝卜地 蔬菜大棚的面积
9. (2024·天台)“一尺之棰,日取其半,万世不竭。”意思是:一根一尺长的木棒(尺,中国古代长度单位),今天截取它的一半,明天接着截取它剩下的一半,这样一直取下去,永远也取不完。照这样计算,取完3天后,这根木棒还剩下( )尺。(2分)
答案: $9.\frac{1}{8}$
10. (2024·杭州上城)一瓶纯果汁,悠悠第一次喝了$\frac{1}{3}$瓶,然后在瓶里兑满水后又喝去$\frac{1}{3}$,此时她一共喝了( )瓶纯果汁。(2分)
答案: $10.\frac{5}{9}$

查看更多完整答案,请扫码查看

关闭